公開日: 11/25/2021

直線のあてはめ

[直線のあてはめ]オプションでは、残差の平方和を最小にするような直線のパラメータb0b1が求められます。なお、i番目の行に対して、直線のモデルはyi = b0 + b1xi + eiと表されます。

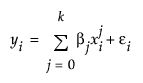
2次多項式は放物線、3次多項式は3次曲線です。次数をkとしたとき、i行目のモデルは、次式で表されます。

Equation shown here

より詳細な情報が必要な場合や、質問があるときは、JMPユーザーコミュニティで答えを見つけましょう (community.jmp.com).