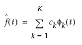
「関数データエクスプローラ」プラットフォームで用意されているモデルは、複数の基底関数を線形結合させたものです(元の関数をいくつかの基底関数に展開したモデルです)。各モデルにおいて、基底関数は互いに独立です。任意の関数f(t)は、K個の基底関数fkの線形結合で近似することができます。一般に、関数は次のように近似することができます。

ここで、ckパラメータは、各基底関数に対する係数です。どの程度、近似した関数が滑らかになるかは、基底関数の数Kで決まります。基底関数への展開についての詳細については、Ramsay and Silverman(2005)を参照してください。
Fourier基底モデルk = 1,..., K に対するFourier基底関数は、f0 = 1, f2k-1 = sin(rwt), f2k = cos(rwt)と定義されます。つまり、この基底関数によるモデル式は次のようになります。

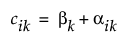
この式の最大周期Aは、A = 2p/wとなっています。このモデル式の係数は、固定効果に対する係数(固定係数)と、変量効果に対する係数(ランダム係数)を足し合わせたものになっています。つまり、各cは次のように定義されています。

ここで、bkは基底関数kに対する固定係数で、aikは、第i番目の関数における基底関数kに対するランダム係数です。Fourier基底モデルにおけるbkおよびaikの推定値は、それぞれ「基底関数係数」レポートと、「ランダム係数」レポートに表示されます。
Fourier基底モデルには、切片項が1つと、同数の余弦項および正弦項があります。以下、これらを「Fourierペア」と呼びます。切片項とFourierペアからモデルは構成されるので、Kは常に奇数です。たとえば、切片項が1つとFourierペアが3つだと、K = 7となります。