応答変数の値から、説明変数の値を推定することを、「逆推定」と言います。特に生物検定(バイオアセイ)の分野において、逆推定を行い、その信頼区間を求めるのは役立ちます。JMPでは、応答変数が連続尺度もしくは二値のモデルにおいて、逆推定を行うことができます。応答変数が連続尺度の場合には、応答の期待値ではなく、個々の値に対する信頼区間を求めることもできます。
Fiellerの定理(Fieller, 1954)が、逆推定の信頼限界の計算に使われています。以下で説明する方法によって、応答変数と他の説明変数の値が与えられているときの、ある説明変数の値とその信頼限界が推定されます。
• bをパラメータbの推定値とします。また、bの分布をN(b,V)とします。
• xを分析対象である説明変数の値とし、i番目の値を推定の対象とします。
• yを応答値とします。
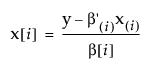
b′x = yで、xのその他の値すべてが与えられているときの、x[i]の値に対する信頼限界を求めるのが目標です。
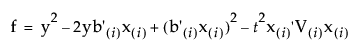
逆推定の点推定値は、次式で表されます。

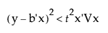
ここで、丸括弧に囲まれたiは、i番目の成分が省略されることを示します。信頼区間は、次の関係から求められます。

ここで、tは指定した信頼水準のt値です。
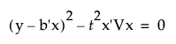
次の等式

はz = x[i]を使って次のように表すことができます。

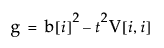
ここで



g、h、fの値に応じて、この不等式の解(すなわち、逆推定の信頼区間)は、次に示すような形式になります。
• 区間 (f1, f2)、ここでf1 < f2
• 互いに素な区間(−∞, f1) ∪ (f2, ∞)、ここでf1 < f2
• 実線全体、(−∞, ∞)
• −(∞, f)または(φ, ∞)のいずれか
上記したFiellerの方法による逆推定の信頼区間が実線全体に渡る場合、代わりにWald法により信頼区間が求められます。
メモ: 「二変量の関係」のロジスティックプラットフォームと「モデルのあてはめ」の[名義ロジスティック]手法では、逆推定の信頼区間を計算する際にt値が使用されます。一方、「モデルのあてはめ」の[一般化線形モデル]手法とSAS/STATのPROC PROBITではz値が使用されるため、結果が異なります。