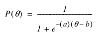
項目反応理論モデルには、1、2、および3パラメータのロジスティックモデルがよく使われます。このうち、3パラメータのロジスティック(3PL)モデルは、次式のように定義されます。

• P(q)は、能力レベルがqである受験者が、該当の項目に正答する確率です。項目反応理論モデルの推定に関する詳細は、項目反応理論モデルの推定方法を参照してください。
• aパラメータは、変曲点での曲線の傾きです。項目の識別力(discriminatory power)を表しています。
• bパラメータは、変曲点の位置です。項目の困難度(difficulty)を表しています。
• cパラメータは下方漸近線です。これは、あて推量による正答率を表しています。
• 2PLモデルの場合、cパラメータは0に設定されます。

• 1PLモデルの場合、cパラメータは0に、aパラメータは1に固定されます。このパラメータ表現のモデルは、「Raschモデル」(Rasch 1980)とも呼ばれています。

2PLモデルと3PLモデルでは、aパラメータ(変曲点での曲線の傾きを表すパラメータ)によって、項目の識別力(判別力)が分かります。「識別力」とは、「能力レベルが低い人と、能力レベルが高い人とを、該当の項目がどれほどうまく識別できるか?」を示すものです。曲線の傾きが大きい項目は、強い識別力があることを示します。曲線の傾きが大きいと、能力レベルが低いとその項目に対する正答率が低くなり、逆に能力が高いと正答率は高くなる、ということを示しています。逆に、曲線が比較的平坦である項目は、識別力が低いです。識別力が低い項目は、テストから除外される候補になります。
図11.10 aの値を変化させたときのロジスティックモデル
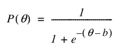
bパラメータ(変曲点の位置を示すパラメータ)によって、項目の困難度が分かります。項目反応曲線の変曲点が右側にある項目は、変曲点が左側にある項目よりも、難しいことを示します。1PLモデルと2PLモデルでは、bパラメータは、正答率が50%となる能力レベルを表しています。
図11.11 bの値を変化させたときのロジスティック曲線
3PLモデルでは、cパラメータ(項目反応曲線の下方漸近線を示すパラメータ)は、あて推量で正答する確率を表します。下方漸近線が0ではない場合、能力レベルが非常に低い人が正答する確率が0ではないことを表しています。
図11.12 cの値を変化させたときのロジスティックモデル