ここでは、「潜在クラス分析」プラットフォームであてはめられる潜在クラスモデルについて説明します。潜在クラスモデルの詳細については、Collins and Lanza(2010)およびAgresti(2013)を参照してください。
メモ: 「テキストエクスプローラ」プラットフォームでも潜在クラス分析が実行できますが、そこで使われているアルゴリズムは文書単語行列の希薄性を利用しています。そのため、「テキストエクスプローラ」プラットフォームでの潜在クラス分析の結果は、「潜在クラス分析」プラットフォームでの結果と正確には一致しません。
j = 1, ..., Jを観測された応答の列とします。これらは、「潜在クラス分析」起動ウィンドウで[Y]に指定した列です。列jの水準数をRjとします。
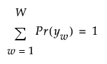
これらJ変数から構成されるベクトルには、全部でW = R1*...*RJ個のパターンがあります。ある回答者の応答は、これらJ変数に対する応答値によって定義されます。この応答値は、y = (y1, ..., yj)という長さJの行ベクトルで表されます。いま、Yを、W個の応答パターンを回答者に関して縦に並べた、W x Jの行列とします。そして、Yの各要素でパターンがywとなる確率をPr(yw)と表します。この確率の全パターンでの合計は1となります。

次の表記を使用します。
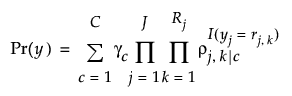
• Cを、潜在クラスモデル内のクラスターの数とします。
• gcを、クラスターcに属する事前確率とします。(つまり、gcは潜在クラスが集団で普及している割合です。)これらのパラメータの合計は1となります。
• rj,kを、j番目の応答のk番目の水準とします。
• rj,k|cを、クラスcに属するという条件のもとで、列jの応答がrj,kになる確率とします。(つまり、rj,k|cは項目応答の確率です。)クラスターcと応答変数jの各組み合わせ内において、rj,k|cを合計したものは1となります。
• I(yj = rj,k)を、j番目の応答yjが第k水準である場合は1、そうでない場合は0となる指示関数とします。
潜在クラスモデルでは、特定の応答ベクトルy = (y1, ..., yj)が観測される確率が、各潜在クラスCにおいて、応答変数ごとに独立に条件付き確率を掛け合わせ、それらを合計したものと仮定されています。

この式は、「潜在クラス分析」の赤い三角ボタンから[混合計算式とクラスター計算式の保存]オプションを選択すると保存される「確率計算式 クラスター」の分母となります。一方、「確率計算式 クラスター」は、Pr(クラスター = c | y)であり、この条件付き確率はPr(y, クラスター = c) / Pr(y)で計算されます。
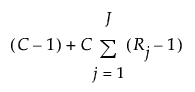
潜在クラスモデルのこれらのパラメータ(gおよびr)は、反復法の一種であるEM(Expectation-Maximization)法を用いて推定されます。なお、潜在クラスモデルでは、次式により計算される個数だけのパラメータを推定します。
