「一標本平均の信頼区間エクスプローラ」では、一標本平均に対する信頼区間・予測区間・許容区間をある程度の幅にするのに必要な標本サイズを計算できます。「一標本平均の信頼区間エクスプローラ」を起動するには、[実験計画(DOE)]>[標本サイズエクスプローラ]>[信頼区間]>[一標本平均の信頼区間]を選択します。 ばらつき・標本サイズ・有意水準・信頼区間の幅におけるトレードオフの関係を調べることができます。
ラジオボタン・テキストボックス・スライダによって、実験や調査の仮定(仮説検定に用いる前提)を設定します。それらの設定を変更すると、グラフの曲線が更新されます。また、曲線上の十字をドラッグするか、軸のテキストボックスに値を入力することでも、設定を変更できます。
区間の目的
信頼区間
母平均に対する信頼区間。母平均が含まれる区間
予測区間
1個の観測値に対する予測区間。将来の1個の観測値が含まれる区間。
許容区間
観測値に対する許容区間。母集団全体のうち、特定の割合の観測値が含まれる区間。
区間の種類
片側区間
片側区間(上側または下側)を指定します。
両側区間
両側区間を指定します。
固定パラメータ
α
有意水準を指定します。信頼水準は、この有意水準を1から引いた値(1-α)です。デフォルトは、95%信頼区間(有意水準は0.05)です。
標準偏差(σ)
誤差の母標準偏差です。
割合
(「区間の目的」で[許容区間]を選択した場合のみ、表示されます。)母集団全体のうち、許容区間に含まれる観測値の割合を指定します。
母標準偏差が既知
このチェックボックスをオンにすると、母標準偏差が既知である信頼区間での標本サイズが計算されます。
区間に関するパラメータ
これらのパラメータは相互に関連があり、いずれかの値を変更すると残りの値が自動的に更新されます。
標本サイズ
区間(信頼区間・予測区間・許容区間)がある程度の幅になるのに必要な標本サイズ(実験回数・実験ユニット数・試料の個数・観測数など)。
点推定値までの距離
(両側区間の場合)両側区間の幅(信頼区間の上限-下限)の半分です。この長さは、「誤差の幅」(margin of error)と呼ばれることもあります。その他の設定が同じである場合、標本サイズが大きくなるほど、信頼区間の幅は狭くなります。
点推定値までの距離
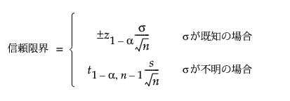
(片側区間の場合)点推定値から信頼限界までの距離(「信頼区間上限-点推定値」もしくは「点推定値-信頼区間下限」)を表します。その他の設定が同じである場合、標本サイズが大きくなるほど、この距離は短くなります。
設定の保存
現在の設定が「設定の保存」の表に保存されます。複数の異なる計画を保存して、比較することができます。標本サイズエクスプローラの「設定の保存」を参照してください。
収集用データテーブルの作成
データの収集に使える新しいデータテーブルが作成されます。
どの種類の区間も、σが既知の場合は標準正規分布、未知の場合はt分布または近似を使って計算されます。
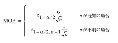
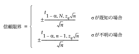
両側信頼区間の「点推定値までの距離」は、次のように計算されます。

片側信頼区間の「点推定値までの距離」は、次のように計算されます。

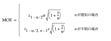
両側予測区間の「点推定値までの距離」は、次のように計算されます。

片側予測区間の「点推定値までの距離」は、次のように計算されます。

割合qだけの観測値を含む許容区間の場合、「点推定値までの距離」は、Krishnamoorthy and Mathew(2009)で説明されている近似法を使って計算されます。
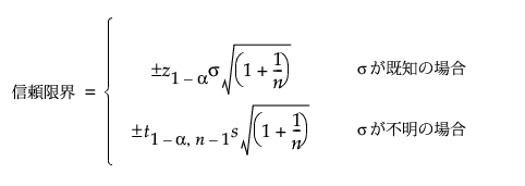
両側許容区間の「点推定値までの距離」は、次のように計算されます。

片側許容区間の「点推定値までの距離」は、次のように計算されます。

上の式で、Nは漸近的な近似を表せるだけの大きさを持った整数。JMPでは、Nは2000に設定されます。