「一標本割合の信頼区間エクスプローラ」では、一標本割合に対する信頼区間をある程度の幅にするのに必要な標本サイズを計算できます。「一標本割合の信頼区間エクスプローラ」を起動するには、[実験計画(DOE)] >[標本サイズエクスプローラ]>[信頼区間]>[一標本割合の信頼区間]を選択します。 割合・標本サイズ・有意水準・信頼区間の幅におけるトレードオフの関係を調べることができます。計算には正規近似が使用されます。
ラジオボタン・テキストボックス・スライダによって、実験や調査の仮定(仮説検定に用いる前提)を設定します。それらの設定を変更すると、グラフの曲線が更新されます。また、曲線上の十字をドラッグするか、軸のテキストボックスに値を入力することでも、設定を変更できます。
区間の種類
片側区間
片側信頼区間(上側または下側)を指定します。
両側区間
両側信頼区間を指定します。
固定パラメータ
α
有意水準を指定します。信頼水準は、この有意水準を1から引いた値(1-α)です。デフォルトは、95%信頼区間(有意水準は0.05)です。
区間に関するパラメータ
これらのパラメータは相互に関連があり、いずれかの値を変更すると残りの値が自動的に更新されます。
割合
真の母割合(想定される母割合)。
標本サイズ
信頼区間をある程度の幅にするのに必要な標本サイズ(実験回数・実験ユニット数・試料の個数・観測数)。
点推定値までの距離
両側区間の幅(信頼区間の上限-下限)の半分です。この長さは、「誤差の幅」(margin of error)と呼ばれることもあります。その他の設定が同じである場合、標本サイズが大きくなるほど、信頼区間の幅は狭くなります。
設定の保存
現在の設定が「設定の保存」の表に保存されます。複数の異なる計画を保存して、比較することができます。標本サイズエクスプローラの「設定の保存」を参照してください。
収集用データテーブルの作成
データの収集に使える新しいデータテーブルが作成されます。
「一標本割合の信頼区間エクスプローラ」では、割合に対する信頼区間は、Agresti-Coull法(Agresti and Coull, 1998を参照)による近似を用いて計算するものとしています。
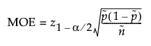
両側信頼区間の「点推定値までの距離」は、次のように計算されます。

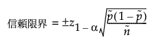
片側信頼区間の「点推定値までの距離」は、次のように計算されます。

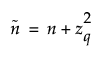
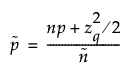
ここで

および

両側信頼区間の場合は、q = 1 - α/2、片側信頼区間の場合は、q = 1 - α です。