「一標本分散の信頼区間エクスプローラ」では、一標本分散に対する信頼区間をある程度の幅にするのに必要な標本サイズを計算できます。「一標本分散の信頼区間エクスプローラ」を計算するには、[実験計画(DOE)] >[標本サイズエクスプローラ]>[信頼区間]>[一標本分散の信頼区間]を選択します。 標本サイズ・有意水準・信頼区間の幅におけるトレードオフの関係を調べることができます。
ラジオボタン・テキストボックス・スライダによって、実験や調査の仮定(仮説検定に用いる前提)を設定します。それらの設定を変更すると、グラフの曲線が更新されます。また、曲線上の十字をドラッグするか、軸のテキストボックスに値を入力することでも、設定を変更できます。
区間の種類
下限
下片側区間を指定します。
上限
上片側区間を指定します。
両側区間
両側区間を指定します。
固定パラメータ
α
有意水準を指定します。信頼水準は、この有意水準を1から引いた値(1-α)です。デフォルトは、95%信頼区間(有意水準は0.05)です。
区間に関するパラメータ
これらのパラメータは相互に関連があり、いずれかの値を変更すると残りの値が自動的に更新されます。
標本サイズ
信頼区間の計算に必要な標本サイズ(実験回数・実験ユニット数・試料の個数・観測数など)。
信頼区間の幅
分散推定値(不偏分散)が1である時の信頼区間に関して計算が行われます。両側信頼区間では幅全体(上限-下限)です。片側信頼区間では、下限値そのものや上限値そのものです。他の設定が同じである場合、標本サイズが増えるほぼ、信頼区間の幅は狭くなります。
設定の保存
現在の設定が「設定の保存」の表に保存されます。複数の異なる計画を保存して、比較することができます。標本サイズエクスプローラの「設定の保存」を参照してください。
収集用データテーブルの作成
データの収集に使える新しいデータテーブルが作成されます。
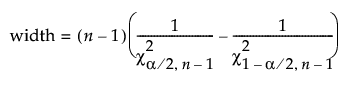
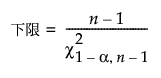
母分散に対する信頼区間は、Χ2 分布に基づいて計算されます。両側信頼区間は、推定値を中心に対称ではありません。
両側信頼区間の幅は、次の式で求められます。

下片側信頼区間の下限値は、次の式で求められます。

上片側信頼区間の上限値は、次の式で求められます。
