「独立二標本割合の信頼区間エクスプローラ」では、二標本割合の差・対数相対リスク・対数オッズに対する信頼区間をある程度の幅にするのに必要な標本サイズを計算できます。「独立二標本割合の信頼区間エクスプローラ」を起動するには、[実験計画(DOE)]>[標本サイズエクスプローラ]>[信頼区間]>[独立二標本割合の信頼区間]を選択します。 標本サイズ・有意水準・信頼区間の幅におけるトレードオフの関係を調べることができます。
ラジオボタン・テキストボックス・スライダによって、実験や調査の仮定(仮説検定に用いる前提)を設定します。それらの設定を変更すると、グラフの曲線が更新されます。また、曲線上の十字をドラッグするか、軸のテキストボックスに値を入力することでも、設定を変更できます。
区間の種類
片側区間
(上側または下側の)片側の信頼区間を指定します。
両側区間
両側の信頼区間を指定します。
興味があるパラメータ
割合の差
二標本割合の差(p1 -p2)に対する信頼区間を指定します。
対数相対リスク
相対リスク(p1/p2)の対数に対する信頼区間を指定します。
対数オッズ
オッズ(p1/(1-p2))の対数に対する信頼区間を指定します。
固定パラメータ
α
有意水準を指定します。信頼水準は、この有意水準を1から引いた値(1-α)です。デフォルトは、95%信頼区間(有意水準は0.05)です。
区間に関するパラメータ
これらのパラメータは相互に関連があり、いずれかの値を変更すると残りの値が自動的に更新されます。
群1の割合
群1の真の母割合(群1に対して想定される母割合)。
群2の割合
群2の真の母割合(群2に対して想定される母割合)。
群1の標本サイズ
実験や調査において群1で必要な標本サイズ(実験回数・実験ユニット数・試料の個数・観測数など)。群1の標本サイズをロックするには、[ロック]を選択します。
群2の標本サイズ
実験や調査において群2で必要な標本サイズ(実験回数・実験ユニット数・試料の個数・観測数)。群2の標本サイズをロックするには、[ロック]を選択します。
全体の標本サイズ
実験や調査に必要な全体の標本サイズ(実験回数・実験ユニット数・試料の個数・観測数など)。「点推定値までの距離」の曲線は、全体の標本サイズに基づきます。
ヒント: ある群の標本サイズを変更すると、もう一方の群の標本サイズも変更されますが、全体の標本サイズは変わりません。全体の標本サイズを変更すると、一方の群がロックされている場合を除き、両方の群の標本サイズが比例的に調整されます。片方の群の標本サイズしかロックできません。
点推定値までの距離
両側信頼区間の場合、信頼区間の幅(信頼区間の上限-下限)の半分です。この長さは、「誤差の幅」(margin of error)と呼ばれることもあります。その他の設定が同じである場合、標本サイズが大きくなるほど、信頼区間の幅は狭くなります。
点推定値までの距離
片側信頼区間の場合、点推定値から信頼限界までの長さです。その他の設定が同じである場合、標本サイズが大きくなるほど、信頼区間の幅は狭くなります。
設定の保存
現在の設定が「設定の保存」の表に保存されます。複数の異なる計画を保存して、比較することができます。標本サイズエクスプローラの「設定の保存」を参照してください。
収集用データテーブルの作成
データの収集に使える新しいデータテーブルが作成されます。
どの種類の区間も、正規近似を使って計算されます。
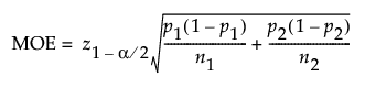
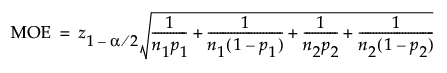
割合の差に対する両側信頼区間の場合、「点推定値までの距離」は次の式で求められます。

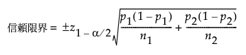
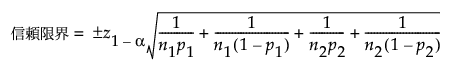
割合の差に対する片側信頼区間の場合、「点推定値までの距離」は次の式で求められます。

対数相対リスクに対する両側信頼区間の場合、「点推定値までの距離」は次の式で求められます。

対数相対リスクに対する片側信頼区間の場合、「点推定値までの距離」は次の式で求められます。

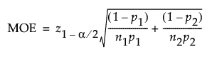
対数オッズに対する両側信頼区間の場合、「点推定値までの距離」は次の式で求められます。

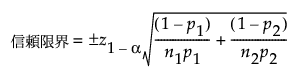
対数オッズに対する片側信頼区間の場合、「点推定値までの距離」は次の式で求められます。
