「独立二標本分散の信頼区間エクスプローラ」では、二標本分散の比に対する信頼区間をある程度の幅にするのに必要な標本サイズを計算できます。「独立二標本分散の信頼区間エクスプローラ」を起動するには、[実験計画(DOE)]>[標本サイズエクスプローラ]>[信頼区間]>[独立二標本分散の信頼区間]を選択します。 標本サイズ・有意水準・信頼区間の幅におけるトレードオフの関係を調べることができます。
ラジオボタン・テキストボックス・スライダによって、実験や調査の仮定(仮説検定に用いる前提)を設定します。それらの設定を変更すると、グラフの曲線が更新されます。また、曲線上の十字をドラッグするか、軸のテキストボックスに値を入力することでも、設定を変更できます。
信頼区間の種類
下側の片側区間
下片側区間を指定します。
上側の片側区間
上片側区間を指定します。
両側区間
両側区間を指定します。
固定パラメータ
α
信頼水準(1-α)を指定します。デフォルトは、95%信頼区間(有意水準は0.05)です。
区間に関するパラメータ
群1の標本サイズ
実験や調査において群1で必要な標本サイズ(実験回数・実験ユニット数・試料の個数・観測数など)。群1の標本サイズをロックするには、[ロック]を選択します。
群2の標本サイズ
実験において群2で必要な標本サイズ(実験回数・実験ユニット数・試料の個数・観測数など)。群2の標本サイズをロックするには、[ロック]を選択します。
全体の標本サイズ
実験に必要な全体の標本サイズ(実験回数・実験ユニット数・試料の個数・観測数など)。「点推定値までの距離」の曲線は、全体の標本サイズに基づきます。
ヒント: ある群の標本サイズを変更すると、もう一方の群の標本サイズに影響が及びますが、全体の標本サイズは変わりません。全体の標本サイズを変更すると、一方の群がロックされている場合を除き、両方の群の標本サイズが比例的に調整されます。片方の群の標本サイズしかロックできません。
信頼区間の幅
両側信頼区間の場合、信頼区間の幅全体(上限-下限)を表します。他の設定が同じである場合、標本サイズが増えると、区間の幅は狭くなります。
設定の保存
現在の設定が「設定の保存」の表に保存されます。複数の異なる計画を保存して、比較することができます。標本サイズエクスプローラの「設定の保存」を参照してください。
収集用データテーブルの作成
データの収集に使える新しいデータテーブルが作成されます。
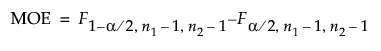
二標本の分散の比に対する信頼区間は、F分布に基づいて計算されます。両側信頼区間における信頼区間の幅は、次の式で求められます。

下片側信頼区間における下限は次の式で求められます。

上片側信頼区間における上限は次の式で求められます。
