基本的な統計分析
>
分割表分析
>
「分割表」プラットフォームの統計的詳細
> [オッズ比]オプション
公開日: 11/25/2021
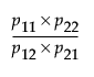
[オッズ比]オプション
オッズ比は次の式で計算されます。
上の式で、
p
ij
は2×2分割表の第
i
行第
j
列の度数です。
より詳細な情報が必要な場合や、質問があるときは、JMPユーザーコミュニティで答えを見つけましょう
(community.jmp.com)
.
このサイトはJavaScriptを有効にすると最適に動作します。