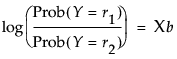
2水準の応答に対するロジスティック回帰モデルは、次のような式で表されます。
(この式で、r1は第1番目、r2は第2番目の応答水準です。)
したがって、オッズは次のように定義されます。

ここで、exp(bi(Xi + 1)) = exp(biXi) exp(bi)が成り立ちます。つまり、Xiが1単位だけ変化すると、オッズ比はexp(bi)倍になります。この値を単位オッズ比といいます。Xiが範囲全体にわたって変化したとき、オッズ比はexp((Xhigh - Xlow)bi)倍になります。この値を範囲オッズ比といいます。2水準の応答では、逆の水準における対数オッズ比は符号を逆にするだけです(オッズ比は、逆数になります)。つまり、最初の水準ではなく2番目の水準に注目するならば、対数オッズ比の符号を逆にするだけです。
名義尺度の効果が2水準の場合は、第1水準が1、第2水準が-1にコード化されるので、範囲オッズ比の逆数がもう一方の範囲オッズ比になります。
パラメータ推定値の信頼区間がプロファイル尤度法で計算されなかった場合、[オッズ比]オプションを選択したときにWald法によるオッズ比の信頼区間が計算されます。
[オッズ比]オプションを選択したときにプロファイル尤度法でオッズ比の信頼区間が計算されるのは、次の条件がすべて満たされている場合です。
• [尤度比検定]オプションが選択されている
• [信頼区間]オプションが選択されている
• 各応答水準あたりのパラメータ数が8未満である
• データの行数が1000未満である
「オッズ比」レポートの末尾に、オッズ比の信頼区間がどの方法で算出されたかが表示されます。