D. R. Cox(1972)によって考案された比例ハザードモデルは、特殊な形態をもつセミパラメトリックな回帰モデルで、説明変数が生存時間に及ぼす効果を調べるために使います。母集団において各個体の生存時間は、各個体自身のハザード関数に従うと仮定されます。
比例ハザードモデルは、ベースラインのハザード関数に対して特定の式を仮定しないという点ではノンパラメトリックで、説明変数に対してパラメトリックな式を仮定する点ではパラメトリックと言えます。比例ハザードモデルのうち、時間に依存する説明変数(時間依存性共変量; time varying covariate)を扱わない比例ハザードモデルでは、ある説明変数のハザード関数は、その説明変数の関数をベースラインのハザード関数に掛け合わせることにより求められると仮定されています。なお、JMPでは、時間依存性共変量は扱えません。Kaplan-Meier法と異なり、比例ハザードモデルでは、パラメータ推定値と標準誤差が各説明変数に対して計算されます。説明変数の回帰パラメータ(b)およびその標準誤差は、最尤法によって推定されます。条件付きリスク比(ハザード比)も、パラメータ推定値に基づいて計算されます。
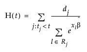
JMPにおける比例ハザードモデルでの生存率の推定値は、経験法を使って一般化されたもので(Lawless 1982)、経験的累積ハザード関数推定値H(t)により、S(t) = exp(-H(t))で求められます。ハザード関数は次のように定義されます。

応答変数の値が同じデータにある場合、つまり、ある同一時点において2つ以上の故障や死亡が生じている場合は、Breslow尤度を使います。