元の説明変数に対する推定値「元の説明変数に対する推定値」レポートには、モデルに含まれるすべてのパラメータの推定値などが表示されます。最初の表には、モデルの説明変数に対する係数が含まれています。2番目の表には、尺度・過分散・ゼロ強調といったパラメータに対する推定値が含まれています。分布を参照してください。これら2つの表は、同じ設定に対する推定結果です。
ヒント: 「元の説明変数に対する推定値」レポートで行をクリックすると、「パラメータ推定値の経路」プロットでも対応する経路が強調表示されます。この時、データテーブルでも対応する列が選択されます。この機能は、さらに分析を進めるのに便利です。なお、複数の項を選択する場合は、Shiftキーを押しながら選択してください。
「元の説明変数に対する推定値」レポートには、(標準化していない)元の説明変数に対するパラメータ推定値が表示されます。
レポートには次の情報も表示されます。
項
モデル項のリスト。「詳細設定」オプションの「強制的に含める項」での指定により、強制的にモデルに含まれた項の横には「強制的に含まれた」と記されます。
推定値
元の説明変数に対するパラメータ推定値。
標準誤差
推定値の標準誤差。これは、M推定におけるサンドイッチ公式(Zou, 2006およびHuber and Ronchetti, 2009)を使って求められます。
Waldカイ2乗
パラメータが0かどうかを調べるWald検定のカイ2乗値。
p値(Prob > ChiSquare)
Wald検定に対するp値。
下側95%
パラメータに対する両側95%信頼区間の下限。信頼水準(α)を変更するには、「モデルの指定」の赤い三角ボタンのメニューから[有意水準の設定]を選択します。
上側95%
パラメータに対する両側95%信頼区間の上限。信頼水準(α)を変更するには、「モデルの指定」の赤い三角ボタンのメニューから[有意水準の設定]を選択します。
特異性の詳細
(モデル項の間に1次従属性がある場合のみ表示されます。)ある効果と別の効果とにある1次従属関係が示されます。
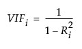
VIF
(応答変数の確率分布として正規分布を指定したときだけ計算されます。パラメータ推定値テーブルを右クリックし、[列]>[VIF]を選択したときのみ表示されます。)モデルの各項に対するVIF(Variance Inflation Factor)。この値が大きい場合、モデル内の項間に共線性があると考えられます。
i番目の項xiに対するVIFは、次式によって計算されます。

この式において、Ri2はxiを応答変数とし、その他の説明変数を説明変数として回帰分析したときのR2乗(決定係数)です。