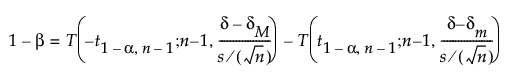
「一標本平均の同等性の検出力エクスプローラ」では、1つの分散に対する仮説検定での標本サイズを計算できます。「一標本平均の同等性の検出力エクスプローラ」を起動するには、[実験計画(DOE)]>[標本サイズエクスプローラ]>[検出力]>[一標本平均の同等性の検出力]を選択します。 ばらつき・標本サイズ・検出力・有意水準・同等性の範囲におけるトレードオフの関係を調べることができます。ここでの仮説検定は、次のような帰無仮説に対するものです。
もしくは
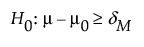
対立仮説:

上の式で、μは真の平均、μ0は基準値、(δm, δM)は同等性の範囲です。有意水準と検出力が一定ならば、より小さい範囲での同等性検出するには、より大きい標本サイズが必要になります。ここでの計算は、母集団での観測値が平均μ、標準偏差σの正規分布に従うことを前提として算出されます。
ラジオボタン・テキストボックス・スライダによって、実験や調査の仮定(仮説検定に用いる前提)を設定します。それらの設定を変更すると、グラフの曲線が更新されます。また、曲線上の十字をドラッグするか、軸のテキストボックスに値を入力することでも、設定を変更できます。
同等性の範囲
同等性の上限
同等性の範囲における上限値を指定します。この値を上回る平均は、基準平均と異なるとみなされます。
同等性の下限
同等性の範囲における下限値を指定します。この値を下回る平均は、基準平均と異なるとみなされます。
メモ: 通常、同等性の範囲は対称です。
固定パラメータ
α
第1種の誤りの確率(帰無仮説が正しい場合に、その帰無仮説を誤って棄却する確率)です。この値は、一般には、「有意水準」や「α水準」などと呼ばれています。デフォルトの有意水準は、0.05です。
標準偏差(σ)
検出力の計算で仮定される、誤差の母標準偏差です。
母標準偏差が既知
このチェックボックスをオンにすると、母標準偏差が既知である検定での検出力が計算されます。
検定に関するパラメータ
これらのパラメータは相互に関連があり、いずれかの値を変更すると残りの値が自動的に更新されます。
平均の差
真の平均と仮説平均(基準平均)の差がどれぐらいであれば2つの平均を同等とみなすかを指定します。
標本サイズ
実験に必要な標本サイズ(実験回数・実験ユニット数・試料の個数・観測数など)。
検出力
設定された対立仮説が正しい場合に、帰無仮説を正しく棄却できる確率。その他の設定が同じである場合、標本サイズが大きくなるほど、検出力は増加します。
設定の保存
現在の設定が「設定の保存」の表に保存されます。複数の異なる計画を保存して、比較することができます。標本サイズエクスプローラの「設定の保存」を参照してください。
収集用データテーブルの作成
データの収集に使える新しいデータテーブルが作成されます。
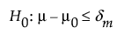
1標本平均に対する同等性検定の検出力計算については、Chow et al.(2008)を参照してください。
σが既知の場合、検出力(1-β)は次のように求められます。

ここで
αは、有意水準。
nは、標本サイズ。
sは、標準偏差。
δは、対立仮説での差(検出したい母平均)。
(δm, δM)は、同等性の範囲。
t1-α,ν は、自由度νのt分布の(1 - α)分位点、
T(t; ν, λ)は、自由度νで非心パラメータλを持つ非心t分布の累積分布関数。
σが既知の場合、検出力(1-β)は次のように求められます。
