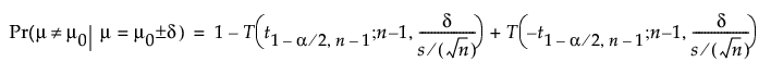
「一標本平均の検出力エクスプローラ」では、1つの平均に対する仮説検定での標本サイズを計算できます。「一標本平均の検出力エクスプローラ」を起動するには、[実験計画(DOE)]>[標本サイズエクスプローラ]>[検出力]>[一標本平均の検出力]を選択します。 ばらつき・標本サイズ・検出力・有意水準・検出したい差におけるトレードオフの関係を調べることができます。ここでの仮説検定は、次のような帰無仮説に対するものです。

両側検定における対立仮説は次のとおりです。

片側検定における対立仮説は次のとおりです。
もしくは
ここで、μは母平均、μ0は仮説値(帰無仮説における母平均)です。 検定で「検出したい差」を、ここではδと記します。これは、「真の母平均」がμ0 からどれだけ離れているかを示します。有意水準と検出力が一定ならば、より小さい差を検出するには、より大きい標本サイズが必要になります。検出力分析は、母集団での観測値が平均μ、標準偏差σの正規分布に従うことを前提として算出されます。
ラジオボタン・テキストボックス・スライダによって、実験や調査の仮定(仮説検定に用いる前提)を設定します。それらの設定を変更すると、グラフの曲線が更新されます。また、曲線上の十字をドラッグするか、軸のテキストボックスに値を入力することでも、設定を変更できます。
検定の種類
仮説検定が片側なのか両側なのかを指定します。
固定パラメータ
α
第1種の誤りの確率(帰無仮説が正しい場合に、その帰無仮説を誤って棄却する確率)です。この値は、一般には、「有意水準」や「α水準」などと呼ばれています。デフォルトの有意水準は、0.05です。
標準偏差(σ)
検出力の計算で仮定される、誤差の母標準偏差です。
ヒント: なお、標準偏差を単位とした差(つまり、差が標準偏差の何倍であるか)を「検出したい差」に指定したい場合は、この「標準偏差」を1に設定してください。
母標準偏差が既知
このチェックボックスをオンにすると、母標準偏差が既知である検定での検出力が計算されます。
検定に関するパラメータ
これらのパラメータは相互に関連があり、いずれかの値を変更すると残りの値が自動的に更新されます。
検出したい差(Δ)
対立仮説での値と仮説平均(帰無仮説での値)との差。仮説検定によって検出したい差。
標本サイズ
実験に必要な標本サイズ(実験回数・実験ユニット数・試料の個数・観測数など)。
検出力
対立仮説が「検出したい差」である場合に、帰無仮説を正しく棄却できる確率。その他の設定が同じである場合、標本サイズが大きくなると、検出力は増加します。
設定の保存
現在の設定が「設定の保存」の表に保存されます。複数の異なる計画を保存して、比較することができます。標本サイズエクスプローラの「設定の保存」を参照してください。
収集用データテーブルの作成
データの収集に使える新しいデータテーブルが作成されます。
一標本平均の検出力は、σが未知の場合は、通常のt検定に基づいて計算されます。σが既知の場合は、z検定に基づいて計算されます。σが未知の場合、各対立仮説に対して、次の式に基づき検出力が計算されます。
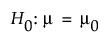
上片側対立仮説の場合:

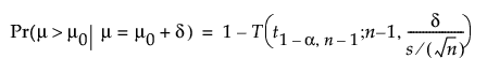
下片側対立仮説の場合:

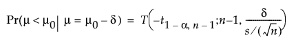
両側対立仮説の場合:

ここで
αは、有意水準。
nは、標本サイズ。
sは、標準偏差。
δは、検出したい差。
t1-α,ν は、自由度νのt分布の(1 - α)での分位点。
T(t; ν, λ)は、自由度νで非心パラメータλを持つ非心t分布の累積分布関数。
なお、σが既知の場合は、上記の検出力の計算式でz分布とσが使用されます。上記の式で表される検出力を求めるときには、F分布の累積分布関数が使われます。 一方、検出力からδおよびnを求めるときには数値的な探索アルゴリズムが使われます。