「一標本分散の検出力エクスプローラ」では、1つの分散に対する仮説検定での標本サイズを計算できます。「一標本分散の検出力エクスプローラ」を起動するには、[実験計画(DOE)]>[標本サイズエクスプローラ]>[検出力]>[一標本分散の検出力]を選択します。 標本サイズ・検出力・有意水準・検出したい違い(帰無仮説の分散と対立仮説の分散の比)におけるトレードオフの関係を調べることができます。ここでの仮説検定は、次のような帰無仮説に対するものです。

両側検定における対立仮説は次のとおりです。

片側検定における対立仮説は次のとおりです。
もしくは
上の式で、σは真の分散です。 σ0は、帰無仮説における母分散(母分散の基準値)です。この仮説検定では、σ0 からの違いを検出します。その違いは、σ0÷σaという比(帰無仮説での母分散と対立仮説での母分散の比)で表します。有意水準と検出力が一定ならば、分散比が1に近いほど(つまり、分散の違いが小さいほど)、その違いを検出するには、より大きい標本サイズが必要になります。ここでの計算は、母集団での観測値が平均μ、標準偏差σの正規分布に従うことを前提として算出されます。
ラジオボタン・テキストボックス・スライダによって、実験や調査の仮定(仮説検定に用いる前提)を設定します。それらの設定を変更すると、グラフの曲線が更新されます。また、曲線上の十字をドラッグするか、軸のテキストボックスに値を入力することでも、設定を変更できます。
検定タイプ
仮説検定が片側なのか両側なのかを指定します。
固定パラメータ
α
第1種の誤りの確率(帰無仮説が正しい場合に、その帰無仮説を誤って棄却する確率)です。この値は、一般には、「有意水準」や「α水準」などと呼ばれています。デフォルトの有意水準は、0.05です。
検定に関するパラメータ
これらのパラメータは相互に関連があり、いずれかの値を変更すると残りの値が自動的に更新されます。
分散比(帰無仮説値÷対立仮説値)
帰無仮説における母分散(基準となる母分散)と対立仮説における母分散(真の母分散)の比を指定します。
標本サイズ
実験に必要な標本サイズ(実験回数・実験ユニット数・試料の個数、観測数など)。
検出力
「分散比」から求められる対立仮説が正しい場合に、帰無仮説を正しく棄却できる確率。その他の設定が同じである場合、標本サイズが大きくなると、検出力は増加します。
設定の保存
現在の設定が「設定の保存」の表に保存されます。複数の異なる計画を保存して、比較することができます。標本サイズエクスプローラの「設定の保存」を参照してください。
収集用データテーブルの作成
データの収集に使える新しいデータテーブルが作成されます。
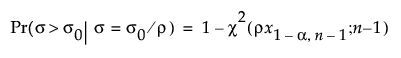
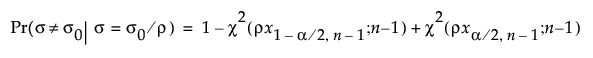
一標本分散に対する検定の検出力は、χ2検定に基づいて計算されます。各対立仮説に対して、次の式で検出力は計算されます。
上片側対立仮説の場合:

下片側対立仮説の場合:

両側対立仮説の場合:

ここで
αは、有意水準。
nは、標本サイズ。
ρ=σa/σ0
x1-α,ν は、自由度νのχ2 分布の(1 - α)分位点。
χ2(x, ν)は、自由度νのχ2 分布の累積分布関数。