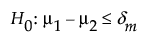
「独立二標本同等性の検出力エクスプローラ」では、独立な2つの標本の平均に対する同等性検定での標本サイズを計算できます。「独立二標本同等性の検出力エクスプローラ」を起動するには、[実験計画(DOE)]>[標本サイズエクスプローラ]>[検出力]>[独立二標本平均の同等性の検出力]を選択します。 ばらつき・標本サイズ・検出力・有意水準・同等性の範囲におけるトレードオフの関係を調べることができます。ここでの仮説検定は、次のような帰無仮説に対するものです。
もしくは 
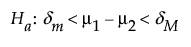
対立仮説:

上の式で、μ1およびμ2は、各群における真の母平均です。(δm, δM)は、同等性の範囲です。有意水準と検出力が一定ならば、より狭い範囲での同等性を主張したいほど、より大きい標本サイズが必要になります。ここでの計算は、母集団分布が正規分布であることを前提としています。
ラジオボタン・テキストボックス・スライダによって、実験や調査の仮定(仮説検定に用いる前提)を設定します。それらの設定を変更すると、グラフの曲線が更新されます。また、曲線上の十字をドラッグするか、軸のテキストボックスに値を入力することでも、設定を変更できます。
同等性の範囲
同等性の上限
同等性の範囲における上限値を指定します。2つの母平均の差がこの上限値を上回ると、それら母平均は実質的に同等ではないと分類します。
同等性の下限
同等性の範囲における上限値を指定します。2つの母平均の差がこの下限値を下回ると、それら母平均は実質的に同等ではないと分類します。
メモ: 通常、同等性の範囲は対称ですが、必ずしも対称である必要はありません。
固定パラメータ
α
第1種の誤りの確率(帰無仮説が正しい場合に、その帰無仮説を誤って棄却する確率)です。この値は、一般には、「有意水準」や「α水準」などと呼ばれています。デフォルトの有意水準は、0.05です。
群1の標準偏差(σ1)
1番目のグループの母標準偏差(群1に対して仮定される誤差の母標準偏差)。
群2の標準偏差(σ2)
2番目のグループの母標準偏差(群2に対して仮定される誤差の母標準偏差)。
母標準偏差が既知
このチェックボックスをオンにすると、母標準偏差が既知である検定での検出力が計算されます。
検定に関するパラメータ
これらのパラメータは相互に関連があり、いずれかの値を変更すると残りの値が自動的に更新されます。
平均の差
対立仮説における母平均の差。
群1の標本サイズ
実験や調査において群1で必要な標本サイズ(実験回数・実験ユニット数・試料の個数・観測数など)。群1の標本サイズをロックするには、[ロック]を選択します。
群2の標本サイズ
実験や調査において群2で必要な標本サイズ(実験回数・実験ユニット数・試料の個数・観測数など)。群2の標本サイズをロックするには、[ロック]を選択します。
全体の標本サイズ
実験や調査に必要な全体の標本サイズ(実験回数・実験ユニット数・試料の個数・観測数など)。検出力の曲線は、全体の標本サイズに基づきます。
ヒント: ある群の標本サイズを変更すると、もう一方の群の標本サイズも変更されますが、全体の標本サイズは変わりません。全体の標本サイズを変更すると、一方の群がロックされている場合を除き、両方の群の標本サイズが比例的に調整されます。片方の群の標本サイズしかロックできません。
検出力
帰無仮説が正しくないときに、その帰無仮説を正しく棄却できる確率。その他の設定が同じである場合、標本サイズが大きくなるほど、検出力は増加します。
設定の保存
現在の設定が「設定の保存」の表に保存されます。複数の異なる計画を保存して、比較することができます。標本サイズエクスプローラの「設定の保存」を参照してください。
収集用データテーブルの作成
データの収集に使える新しいデータテーブルが作成されます。
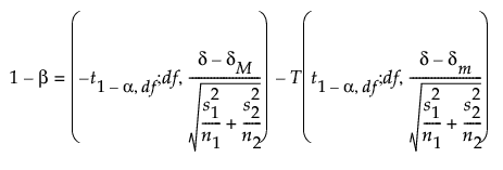
2標本平均に対する同等性検定の検出力の計算については、Chow et al.(2008)を参照してください。
σ1およびσ2 が未知の場合、検出力(1-β)は次のように計算されます。

ここで

αは、有意水準。
n1および n2 は、各群の標本サイズ。
s1 および s2 は、各群の母標準偏差。
δは、検出したい差。
(δm, δM)は、同等性の範囲。
t1-α,ν は、自由度νのt分布の(1 - α)分位点、
T(t; ν, λ)は、自由度νで非心パラメータλを持つ非心t分布の累積分布関数。
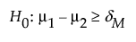
σが既知の場合、検出力(1-β)は次のように求められます。
