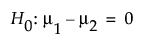
「独立二標本平均の検出力エクスプローラ」では、独立な2つの標本の平均に対する仮説検定での標本サイズを計算できます。「独立二標本平均の検出力エクスプローラ」を起動するには、[実験計画(DOE)]>[標本サイズエクスプローラ]>[検出力]>[独立二標本平均の検出力]を選択します。 ばらつき・標本サイズ・検出力・有意水準・検出したい差におけるトレードオフの関係を調べることができます。ここでの仮説検定は、次のような帰無仮説に対するものです。

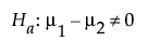
両側検定における対立仮説は次のとおりです。

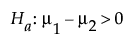
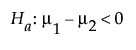
片側検定における対立仮説は次のとおりです。
つまり
ここで、μ1およびμ2は、2つの母集団の母平均です。ここでの計算は、母集団分布が正規分布であることを前提としています。そして、δの差を検出するのに必要な標本サイズを求めます。
ラジオボタン・テキストボックス・スライダによって、実験や調査の仮定(仮説検定に用いる前提)を設定します。それらの設定を変更すると、グラフの曲線が更新されます。また、曲線上の十字をドラッグするか、軸のテキストボックスに値を入力することでも、設定を変更できます。
検定の種類
仮説検定が片側なのか両側なのかを指定します。
固定パラメータ
α
第1種の誤りの確率(帰無仮説が正しい場合に、その帰無仮説を誤って棄却する確率)です。この値は、一般には、「有意水準」や「α水準」などと呼ばれています。デフォルトの有意水準は、0.05です。
群1の標準偏差(σ1)
1番目のグループの母標準偏差(群1に対して仮定される誤差の母標準偏差)。この母標準偏差に指定する値としては、これまでに行った、大規模な類似の実験や調査から計算されたRMSE(平均2乗誤差の平方根)を用いることが考えられます。
群2の標準偏差(σ2)
2番目のグループの母標準偏差(群2に対して仮定される誤差の母標準偏差)。この母標準偏差に指定する値としては、これまでに行った、大規模な類似の実験や調査から計算されたRMSE(平均2乗誤差の平方根)を用いることが考えられます。
母標準偏差が既知
このチェックボックスをオンにすると、母標準偏差が既知である検定での検出力が計算されます。
検定に関するパラメータ
検出したい差(Δ)
対立仮説における母平均の差。統計的検定によって検出したい平均差。
群1の標本サイズ
実験において群1で必要な標本サイズ(実験回数・実験ユニット数・試料の個数・観測数など)。群1の標本サイズをロックするには、[ロック]を選択します。
群2の標本サイズ
実験において群2で必要な標本サイズ(実験回数・実験ユニット数・試料の個数・観測数など)。群2の標本サイズをロックするには、[ロック]を選択します。
全体の標本サイズ
実験に必要な全体の標本サイズ(実験回数・実験ユニット数・試料の個数・観測数など)。検出力の曲線は、全体の標本サイズに基づきます。
ヒント: ある群の標本サイズを変更すると、もう一方の群の標本サイズは変更されますが、全体の標本サイズは変わりません。全体の標本サイズを変更すると、一方の群がロックされている場合を除き、両方の群の標本サイズが比例的に調整されます。なお、片方の群の標本サイズしかロックできません。
検出力
設定された対立仮説が正しい場合に、帰無仮説を正しく棄却できる確率。その他の設定が同じである場合、標本サイズが大きくなるほど、検出力は増加します。
設定の保存
現在の設定が「設定の保存」の表に保存されます。複数の異なる計画を保存して、比較することができます。標本サイズエクスプローラの「設定の保存」を参照してください。
収集用データテーブルの作成
データの収集に使える新しいデータテーブルが作成されます。
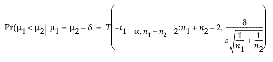
2群の平均差に対する検定の検出力は、通常のt検定か、σ1およびσ2が既知の場合はz検定に基づいて計算されます。
σが未知で、σ1=σ2=σと仮定する場合は、各対立仮説に対して次のように検出力が求められます。上片側対立仮説の場合:

下片側対立仮説の場合:

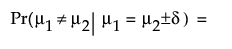
両側対立仮説の場合:


ここで
αは、有意水準。
n1および n2 は、各群の標本サイズ。
sは、両群で共通の母標準偏差。
δは、検出したい差。
t1-α,ν は、自由度νのt分布の(1 - α)分位点、
T(t; ν, λ)は、自由度νで非心パラメータλを持つ非心t分布の累積分布関数。
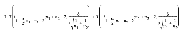
σ1およびσ2 が等しいと仮定されていない場合は、上式の自由度n1+ n2 -2は、次のように設定されます。

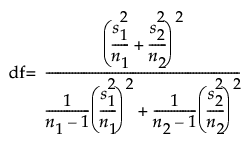
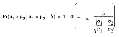
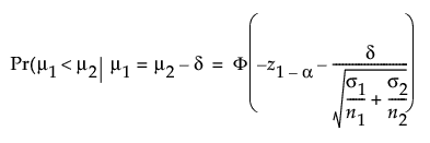
σ1およびσ2 が既知の場合は、z分布を使って検出力が計算されます。各対立仮説に対して、検出力次のように求められます。上片側対立仮説の場合:

下片側対立仮説の場合:

両側対立仮説の場合:

ここで
αは有意水準。
n1および n2 は、各群の標本サイズ。
σ1およびσ2は、各群の既知である母標準偏差。
δは、検出したい差。
z1-αは、z分布の(1 - α)分位点。
Φ(x)は、正規分布の累積分布関数。