「独立二標本割合の検出力エクスプローラ」では、独立な2つの標本の割合に対する仮説検定での標本サイズを計算できます。「独立二標本割合の検出力エクスプローラ」を起動するには、[実験計画(DOE)]>[標本サイズエクスプローラ]>[検出力]>[独立二標本割合の検出力]を選択します。標本サイズ・検出力・有意水準・検出したい差におけるトレードオフの関係を調べることができます。ここでの仮説検定は、次のような帰無仮説に対するものです。

両側検定における対立仮説は次のとおりです。

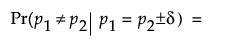
片側検定における対立仮説は次のとおりです。
もしくは
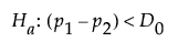
ここで、p1とp2は、2つの母集団における母割合。D0は、母割合の差に対する仮説値(帰無仮説での値)です。
ラジオボタン・テキストボックス・スライダによって、実験や調査の仮定(仮説検定に用いる前提)を設定します。それらの設定を変更すると、グラフの曲線が更新されます。また、曲線上の十字をドラッグするか、軸のテキストボックスに値を入力することでも、設定を変更できます。
検定タイプ
仮説検定が片側なのか両側なのかを指定します。
固定パラメータ
α
第1種の誤りの確率(帰無仮説が正しい場合に、その帰無仮説を誤って棄却する確率)です。この値は、一般には、「有意水準」や「α水準」などと呼ばれています。デフォルトの有意水準は、0.05です。
検定に関するパラメータ
これらのパラメータは相互に関連があり、いずれかの値を変更すると残りの値が自動的に更新されます。
群1の割合(p1)
対立仮説での群1の割合(群1における真の母割合)。
群2の割合(p2)
対立仮説での群2の割合(群2における真の母割合)。
群1の標本サイズ
調査や実験において群1で必要な標本サイズ(実験回数・実験ユニット数・試料の個数・観測数など)。群1の標本サイズをロックするには、[ロック]を選択します。
群2の標本サイズ
調査や実験において群2で必要な標本サイズ(実験回数・実験ユニット数・試料の個数・観測数など)。群2の標本サイズをロックするには、[ロック]を選択します。
全体の標本サイズ
調査や実験に必要な全体の標本サイズ(実験回数・実験ユニット数・試料の個数・観測数など)。検出力の曲線は、全体の標本サイズに基づきます。
ヒント: ある群の標本サイズを変更すると、もう一方の群の標本サイズも変更されますが、全体の標本サイズは変わりません。全体の標本サイズを変更すると、一方の群がロックされている場合を除く、両方の群の標本サイズが比例的に調整されます。片方の群の標本サイズしかロックできません。
検出力
帰無仮説が正しくないときに、その帰無仮説を正しく棄却できる確率。その他の設定が同じである場合、標本サイズが大きくなるほど、検出力は増加します。
設定の保存
現在の設定が「設定の保存」の表に保存されます。複数の異なる計画を保存して、比較することができます。標本サイズエクスプローラの「設定の保存」を参照してください。
収集用データテーブルの作成
データの収集に使える新しいデータテーブルが作成されます。
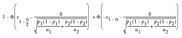
二標本の割合差に対する検定の検出力は、正規近似に基づいて計算されます。各対立仮説に対して、次のような式で検出力は計算されます。上片側対立仮説の場合:

下片側対立仮説の場合:

両側対立仮説の場合:


ここで
αは有意水準。
n1および n2 は、各群の標本サイズ。
p1およびp2 は、各群の既知である母標準偏差。
δは、検出したい差。
z1-αは、z分布の(1 - α)分位点。
Φ(x)は、正規分布の累積分布関数。