「独立二標本分散の検出力エクスプローラ」では、独立な2つの標本の分散に対する仮説検定での標本サイズを計算できます。「独立二標本分散の検出力エクスプローラ」を起動するには、[実験計画(DOE)]>[標本サイズエクスプローラ]>[検出力]>[独立二標本分散の検出力]を選択します。標本サイズ・検出力・有意水準・検出したい差におけるトレードオフの関係を調べることができます。ここでの仮説検定は、次のような帰無仮説に対するものです。

両側検定における対立仮説は、次のとおりです。

片側検定における対立仮説は、次のとおりです。
もしくは
上の式で、σ1は群1の母分散、σ2群2の母分散です群2の母分散σ2 が群1の分散から離れている場合に、その違いを検出することが、この仮説検定の目的です。母分散のその違いを、σ2÷σ1という比(2群の母分散比)と表します。有意水準と検出力が一定ならば、母分散比が1に近いほど、その違いを検出するには、より大きい標本サイズが必要になります。母集団が正規分布に従っていることが計算の前提です。
ラジオボタン・テキストボックス・スライダによって、実験や調査の仮定(仮説検定に用いる前提)を設定します。それらの設定を変更すると、グラフの曲線が更新されます。また、曲線上の十字をドラッグするか、軸のテキストボックスに値を入力することでも、設定を変更できます。
検定の種類
仮説検定が片側なのか両側なのかを指定します。
固定パラメータ
α
第1種の誤りの確率(帰無仮説が正しい場合に、その帰無仮説を誤って棄却する確率)です。この値は、一般には、「有意水準」や「α水準」などと呼ばれています。デフォルトの有意水準は、0.05です。
検定に関するパラメータ
これらのパラメータは相互に関連があり、いずれかの値を変更すると残りの値が自動的に更新されます。
分散(群2÷群1)
母分散の比を指定します。
群1の標本サイズ
実験や調査において群1で必要な標本サイズ(実験回数・実験ユニット数・試料の個数・観測数など)。群1の標本サイズをロックするには、[ロック]を選択します。
群2の標本サイズ
実験や調査において群2で必要な標本サイズ(実験回数・実験ユニット数・試料の個数・観測数など)。群2の標本サイズをロックするには、[ロック]を選択します。
全体の標本サイズ
実験や調査に必要な全体の標本サイズ(実験回数・実験ユニット数・試料の個数・観測数など)。検出力の曲線は、全体の標本サイズに基づきます。
ヒント: ある群の標本サイズを変更すると、もう一方の群の標本サイズも変更されますが、全体の標本サイズは変わりません。全体の標本サイズを変更すると、一方の群がロックされている場合を除きて、両方の群の標本サイズが比例的に調整されます。片方の群の標本サイズしかロックできません。
検出力
設定された対立仮説が正しい場合に、帰無仮説を正しく棄却できる確率。その他の設定が同じである場合、標本サイズが大きくなると、検出力は増加します。
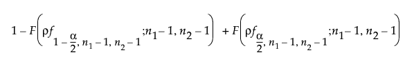
二標本の分散比に対する検定の検出力は、通常のF検定に基づいて計算されます。計算は、対立仮説の形式によって異なります。上片側対立仮説の場合:

下片側対立仮説の場合:

両側対立仮説の場合:


ここで
αは、有意水準。
n1および n2 は、各群の標本サイズ。
ρ=σ1/σ0
f1-α,ν1,ν2 は、自由度ν1 および ν2 のF 分布の(1 - α)分位点。
F(x, ν)は、自由度νのF 分布の累積分布関数。