公開日: 11/25/2021

予測区間

予測区間は次のように定義されます。

将来のm個の観測値に対する予測区間

Equation shown here ただしEquation shown here

将来のm個の観測値から計算される平均に対する予測区間

Equation shown here ただしEquation shown here

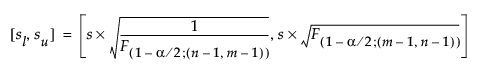
将来のm個の観測値から計算される標準偏差に対する予測区間

Equation shown here ただしEquation shown here

上式において、mは将来の観測値の個数、nは現在、分析に用いているデータの標本サイズです。

なお、予測区間が片側の場合には、1-αの分位点を用いて計算します。

Meeker et al.(2017, ch. 4)を参照してください。

より詳細な情報が必要な場合や、質問があるときは、JMPユーザーコミュニティで答えを見つけましょう (community.jmp.com).