[X行列の保存]オプションは、計画のデータテーブルに、モーメント行列とモデル行列を含む「モーメント行列」および「モデル行列」というスクリプトを保存します。モーメント行列とモデル行列は、「計画の評価」アウトラインの「計画の診断統計量」に表示される「平均予測分散」の計算に使用されます。Goos and Jones(2011)を参照してください。分割計画を作成した場合には、「V逆行列」(V Inverse)というスクリプトも保存されます。「V逆行列」(V Inverse)スクリプトには、応答の共分散行列の逆行列が含まれます。
注意: 名義尺度の因子を含む計画の場合、[X行列の保存]オプションによって保存された「モデル行列」は、「モデルのあてはめ」で使用される計画行列とは異なります。「モデルのあてはめ」で使用される計画行列を得るには、「モデル」スクリプトを実行した後、「モデルのあてはめ」レポートで、[列の保存]>[コーディングのテーブルを保存]を選択してください。
メモ: 行列のスクリプトが常に保存されるよう、環境設定で設定しておくことができます。それには、[ファイル]>[環境設定]>[プラットフォーム]>[実験計画(DOE)]を選択します。そして、[X行列の保存]にチェックマークをつけます。
モデル行列は、計画された実験を行列形式に記述したものです。モデル行列には、実験ごとに1つの行、「モデル」アウトラインで指定されたモデルの項ごとに1つの列が含まれます。各実験に対し、モデル行列の該当する行が、モデルの効果をコード変換した値を含みます。
• 連続尺度の項は、-1~+1の範囲の値にコード変換されます。
• 名義尺度の項は、「モデルのあてはめ」で使用されるコード変換ベクトルに、Gram-Schmidtの直交化を適用したものです。
Gram-Schmidtの直交化の詳細については、Horn and Johnson(2012)を参照してください。
メモ: 検出力分析で使われているコード変換は、「モデルのあてはめ」のコード変換と同じものです。「モデルのあてはめ」における、名義尺度の項のコード変換についての詳細は、『基本的な回帰モデル』の名義尺度効果のコード変換を参照してください。
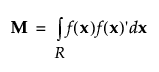
モーメント行列は、モデル項に依存しますが、計画には依存しません。モーメント行列は次のように定義されます。

ここで、f(x)は因子xのベクトルの組み合わせに対応するモデル効果で、Rは計画領域です。モーメント行列と計画行列については、Goos and Jones(2011)およびMyers et al.(2009)を参照してください。なお、「モーメント行列」は、同書(2009)を参照してください。
前節の情報を含んだスクリプトを作成するには、「カスタム計画」の赤い三角ボタンのメニューから[X行列の保存]を選択しておきます。そうすると、計画のデータテーブルを作成したとき、「カスタム計画」データテーブルに「モーメント行列」と「モデル行列」のスクリプトがテーブルスクリプトとして保存されます。なお、分割計画の場合は、このときに「V逆行列」スクリプトも保存されます。
• 「モーメント行列」、「モデル行列」、「V逆行列」のいずれかのスクリプトを右クリックし、[編集]を選択します。そうすると、該当する行列に関するスクリプトが表示されます。この行列を何らかに再利用したい場合には、このスクリプトをコピーして用いてください。
• 「モーメント行列」スクリプトを実行すると、モーメント行列(Moments)内の行数がログに表示されます。
• 「モデル行列」スクリプトを実行すると、モデル行列(X)内の行数がログに表示されます。
• 「V逆行列」スクリプトを実行すると、共分散行列の逆行列(V Inverse)内の行数がログに表示されます。
ここでは、モデル行列のスクリプトの使用法を紹介しています。
ヒント: ログを表示するには、[表示]>[ログ](macOSでは[ウィンドウ]>[ログ])を選択します。
1. [実験計画(DOE)]>[カスタム計画]を選択します。
2. 連続尺度の因子を3個追加し、[続行]ボタンをクリックします。
3. [交互作用]>[2次]を選択します。
4. 「カスタム計画」の赤い三角ボタンをクリックし、[X行列の保存]を選択します。
5. 「実験の回数」を「ユーザ定義」で「12」にして、[計画の作成]、次に[テーブルの作成]をクリックします。
6. テーブルパネルで「モーメント行列」スクリプトを右クリックし、[編集]をクリックします。
スクリプトウィンドウにスクリプトが表示されます。このスクリプトは、「Moments」という名前の変数にモーメント行列を割り当てています。
図4.28 「モーメント行列」スクリプト
7. ログが表示されていないときは、[表示]>[ログ](macOSでは[ウィンドウ]>[ログ])を選択します。
8. 「テーブル」パネルで、「モーメント行列」スクリプトの横にある緑の三角ボタンをクリックします。
ログに、行数がN Row(Moments)=7と表示されます。
9. テーブルパネルで「モデル行列」スクリプトを右クリックし、[編集]をクリックします。
スクリプトウィンドウにスクリプトが表示されます。スクリプトは、「X」という名前のモデル行列を表示します。
10. [実行]をクリックします。
ログに、行数がN Row(X)=12と表示されます。
11. 「モデル行列」をデータテーブルとして表示するには、まず、次のようなコードを「モデル行列」のスクリプトに追加で入力してください。
dt = New Table( "モデル行列" );
dt << Set Matrix( X );12. [実行]をクリックします。