確率の計算式この節では、[確率の計算式の保存]オプションで保存される計算式について説明します。説明変数がx1, x2, …, xp であるデータ行が、クラスCkに属する条件付き確率(事後確率)の計算式は、計算方法節で示されるP(Ck|(x1,..., xp))とは少し異なっています。計算式が、効率的に計算を行うために少し変形されています。
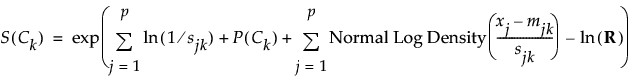
所定のクラスCkに対する「単純 スコア」S(Ck)の計算式は、P(Ck|(x1,..., xp))における分子の式を変形したものであり、次のように計算されます。

「単純 スコア和」の計算式Sは、全クラスの単純スコアを合計したものです。これは、P(Ck|(x1,..., xp))における分母に相当します。

特定のクラスCkに対する「単純 確率」の計算式は、P(Ck|(x1,..., xp))です。次式により計算されます。

「単純予測式」の計算式は、該当のデータ行を事後確率P(Ck|(x1,..., xp))が最大となっているクラスに分類するものです。事後確率が最大となるクラスは、「単純 スコア」が最大となっているクラスです。