この節では、CUSUM管理図の作成に使用される統計量を説明します。これらの統計量の一部は、[要約の保存]コマンドで作成されたデータテーブルにも保存されます。
C+およびC-の定義は、[データ単位]オプションの設定により異なります。
メモ: 「要約の保存」データテーブルでは、C+およびC-は、それぞれ「上側累積和」および「下側累積和」という列名になっています。
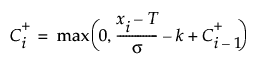
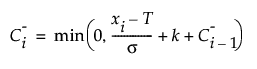
[データ単位]オプションが選択されていない場合、C+およびC-は次のように計算されます。


ここで
xiは、i番目の時点での工程変数
Tは、工程変数の目標値
sは、工程変数の標準偏差
kは、標準偏差の単位で表した参照値
開始値が指定されている場合には、その値がC+の開始値として使用され、その値の符号を逆にしたものがC-の開始値として使用されます。開始値が指定されていない場合には、C+およびC-の開始値はゼロです。
[データ単位]オプションが選択されている場合、C+および C-は、それぞれ次のように計算されます。


ここで
xiは、i番目の時点での工程変数
Tは、工程変数の目標値
sは、工程変数の標準偏差
Kは、データ単位で表した参照値
開始値が指定されている場合には、その値がC+の開始値として使用され、その値の符号を逆にしたものがC-の開始値として使用されます。開始値が指定されていない場合には、C+およびC-の開始値はゼロです。
N+は、直近のゼロ値から、C+がどれだけゼロでないかを数えたものです。N-は、直近のゼロ値から、C-がどれだけゼロでないかを数えたものです。
メモ: 「要約の保存」データテーブルでは、N+およびN-は、それぞれ「正の連」、「負の連」という列名になっています。