ここでは、[離散分布のあてはめ]メニューで用意されている統計分布について説明します。
メモ: JMP 15では、分布のあてはめの一部の機能が新しくなりました。ここでは、互換性のために残されているJMP旧版の機能について説明します。旧版のメニューを表示するには、変数の赤い三角ボタンをクリックし、[連続分布のあてはめ]>[旧版のメニューを有効にする]を選択してください。
Poisson分布のあてはめについては、Poissonのあてはめを参照してください。
ガンマPoisson分布は、平均μが異なる複数のPoisson分布から、データが生成されているときに役立ちます。例として、複数の交差点で発生した事故の発生数などが挙げられます。この場合、各交差点における事故発生数の平均(μ)は、交差点によって異なると考えられます。
ガンマPoisson分布は、x|μが平均μのPoisson分布に従い、その平均がパラメータ(α,τ)のガンマ分布に従うという仮定から導出できます。ガンマPoisson分布には、λ = ατとσ = τ+1の2つのパラメータがあります。パラメータσは過分散パラメータです。σ > 1の場合は、過大分散、つまり通常のPoisson分布よりも分散が大きくなります。σ = 1の場合、xの分布は平均λのPoisson分布になります。
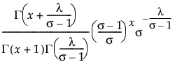
確率関数:
ただし 0 < λ; 1 ≤ σ; x = 0,1,2,...
E(x) = λ
Var(x) = λσ
ここで、Γ(·)は、ガンマ関数です。
前述のとおり、x|μは平均μのPoisson分布に従い、μはパラメータ(α,τ)のガンマ分布に従っていると仮定されています。このプラットフォームでは、λ = ατおよびσ = τ+1がパラメータとして推定されます。αとτの推定値は、次式により計算できます。


ただし、σの推定値が1の場合は、上記の式を使用できません。その場合、ガンマPoisson分布は平均λのPoisson分布に等しくなり、
がそのλの推定値となります。
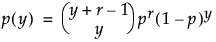
αの推定値が整数の場合、ガンマPoisson分布は、次の確率関数を持つ負の二項分布に等しくなります。
ただし 0 ≤ y
ここでr = αおよび(1-p)/p = τ
「Samples/Scripts」フォルダの中の「demoGammaPoisson.jsl」を実行すると、パラメータλとσのガンマPoisson分布とパラメータλのPoisson分布を比較できます。
二項分布のあてはめについては、二項のあてはめを参照してください。
ベータ二項分布のあてはめについては、ベータ二項のあてはめを参照してください。