「構造方程式モデル」プラットフォームの統計的詳細
「あてはめの要約」における指標の統計的詳細
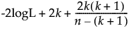
AICcとBICAICcとBICの計算式は以下のとおりです。
AICc = 
BIC = 
ここで
– -2logLは、対数尤度をマイナス2倍したもの。
– nは、標本サイズ。
– kは、パラメータの個数。
「モデルの比較」レポートに表示される尤度に基づく指標については、『基本的な回帰モデル』の尤度・AICc・BICを参照してください。
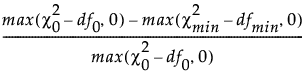
CFICFI(Comparative Fit Index; 比較適合指標)は、以下のように計算されます。
CFI = 
ここで
–
は、独立モデルに対するカイ2乗。
– df0は、独立モデルに対するカイ2乗の自由度。
–
は、あてはめたモデルに対するカイ2乗。
– dfminは、あてはめたモデルに対するカイ2乗の自由度。
CFIの詳細については、Bentler(1990)を参照してください。
TLITLI(Tucker-Lewis Index; Tucker-Lewis指標)の定義は、以下のとおりです。
TLI = 
ここで
–
は、独立モデルに対するカイ2乗。
– df0は、独立モデルに対するカイ2乗の自由度。
–
は、あてはめたモデルに対するカイ2乗。
– dfminは、あてはめたモデルに対するカイ2乗の自由度。
詳細については、West et al.(2012)を参照してください。
NFIBentler-BonettのNFI(Normed Fit Index; 規準化適合指標、標準化適合指標)の定義は以下のとおりです。
NFI = 
ここで
–
は、独立モデルに対するカイ2乗。
–
は、あてはめたモデルに対するカイ2乗。
詳細については、West et al.(2012)を参照してください。
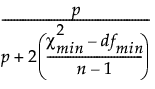
Revised GFIとRevised AGFI修正済みGFI(revised Goodness-of-Fit Index)の定義は以下のとおりです。
Revised GFI = 
ここで
–
は、あてはめたモデルに対するカイ2乗。
– dfminは、あてはめたモデルに対するカイ2乗の自由度。
– pは、あてはめたモデルの観測変数の個数。
– nは、標本サイズ。
修正済みAGFI(revised Adjusted Goodness-of-fit Index)の定義は以下のとおりです。
Revised AGFI = 
ここで
– p*は、観測変数の共分散行列と平均ベクトルにおける要素の個数(ただし、共分散行列にて重複するものはカウントしない)。
– dfminは、あてはめたモデルに対するカイ2乗の自由度。
詳細については、West et al.(2012)を参照してください。
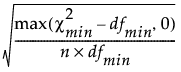
RMSEARMSEA(Root Mean Square Error of Approximation; 近似の平均平方誤差平方根)は、以下のように計算されます。
RMSEA = 
ここで
– nは、標本サイズ。
– dfminは、あてはめたモデルに対するカイ2乗の自由度。
–
は、あてはめたモデルのカイ2乗。
RMSEAの信頼限界は、非心カイ2乗分布の累積分布関数を使って計算されます(F(x|l, d))。90%の信頼区間は、以下のように計算されます。
下限 = 
上限 = 
ここで
– lLは、F(
|lL, dfmin) = 0.95を満たすもの。
– lUは、F(
|lU, dfmin) = 0.05を満たすもの。
詳細については、Maydeu-Olivares et al.(2017)を参照してください。
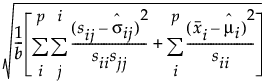
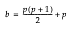
RMRとSRMRRMRとSRMRの計算式は、以下のとおりです。
RMR = 
SRMR = 
ここで
– pは、顕在変数の個数。
– bは、観測変数の共分散行列と平均ベクトルにおける要素の個数(ただし、共分散行列にて重複するものはカウントしない)。

– sijは、入力データの共分散行列の(i, j)番目の要素。
–
は、推定された共分散行列の(i, j)番目の要素。
–
は、標本平均ベクトルのi番目の要素。
–
は、推定された平均ベクトルのi番目の要素。
詳細については、SAS Institute Inc.(2020a)の「CALIS Procedure」章を参照してください。