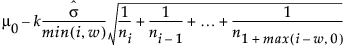
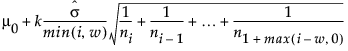
UWMA管理図の各サブグループiの管理限界は、次のように計算されます。
LCLi = 
UCLi = 
ここで
wは、移動平均を計算する区間の幅(移動平均における項数)
niは、i番目のサブグループにおける標本サイズ
kは、標準偏差に対する乗数
は、サブグループ平均の重み付き平均
は、工程の標準偏差の推定値
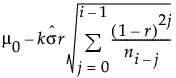
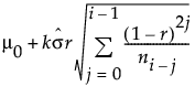
EWMA管理図の管理限界は、次のように計算されます。
下側管理限界(LCL)= 
上側管理限界(UCL)= 
ここで
rは、指数加重移動平均における重みパラメータ(0 < r £ 1)
xijは、i番目のサブグループにおけるj番目の測定値(j = 1, 2, 3,..., ni)
niは、i番目のサブグループにおける標本サイズ
kは、標準偏差に対する乗数
は、サブグループ平均の重み付き平均
は、工程の標準偏差の推定値