ここでは、一変量の分布の「要約統計量」レポートに表示される個々の統計量について説明します。
非欠測値の合計を、非欠測値の個数で割った値です。なお、[重み]や[度数]の列を起動ウィンドウで指定した場合は、次のように計算されます。
1. 各データ値に、対応する重みや度数を掛け合わせます。
2. 乗算後の値を合計し、それを、重みや度数の合計で割ります。
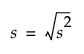
平均周りの分布の散らばりを示す指標です。通常はsで表されます。標準偏差は標本から計算された分散s2の平方根です。

ここで

= (重みつき)平均
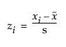
標準偏差sを、Nの平方根で割ったものです。ただし、[重み]や[度数]の列を起動ウィンドウで指定した場合は、重みや度数の合計の平方根で割ります。
平均周りの3次のモーメントを表す指標です。次式によって計算されます。
この式で、
上の式で、wiは重みを表す係数(重み付けをしない場合は1)です。
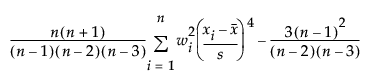
平均周りの4次のモーメントを表す指標です。次式によって計算されます。

ここで、wiは重みです(重み付けをしない場合、すべての重みは1です)。この式によって求められた尖度は、正規分布の場合には0となります。このように正規分布のときに0となるように求められた尖度は、「過剰尖度」(excess kurtosis)と呼ばれることがあります。