R2乗(U)は次の式で計算されます。

分母の「(-1)*対数尤度」は、標本全体において応答確率が一定であるモデルのものです。
次の2種類の検定は次のように計算されます。
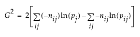
「尤度比」カイ2乗検定の検定等計量は、「検定」レポートに表示されている「(-1)*対数尤度」を2倍した値です。この「(-1)*対数尤度」は、グループごとに応答確率をあてはめたモデルの対数尤度から、標本全体において応答確率が一定であるモデルの対数尤度を引いたものです。尤度比カイ2乗値は、G2という記号で示されることがあり、次式で求めます。
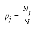
この式で、
および
この式は簡略に次式のようにも表せます。

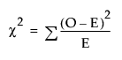
「Pearson」カイ2乗検定の検定統計量は、各セルにおける観測度数と期待度数の差の平方和から計算されます。Pearsonのカイ2乗検定は、大標本では度数が正規分布に従う傾向にあるという性質を用いています。Pearsonのカイ2乗統計量を算出するには、次式がよく知られています。

上式において、Oはセルの観測度数、Eはセルの期待度数です。和記号は、すべてのセルの合計を表しています。2×2分割表に対してときどき採用されている連続修正は、JMPでは行っていません。