ここでは、片側許容区間と両側許容区間の統計的詳細について説明します。
許容区間は、片側区間の場合、次式によって計算されます。
下側の場合= 
上側の場合= 
ここで

sは標準偏差です。
tは非心t分布の分位点です。
Φ-1は標準正規分布の分位点です。
両側許容区間は次の式で計算されます。

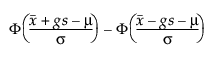
この式で、sは標準偏差、g(1-α/2; p,n)は定数です。
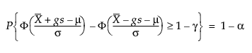
gは、許容区間内に母集団の観測値が収まる割合に基づき計算されます。この割合は、次のように定義されます(Tamhane and Dunlop(2000))。

Φは標準正規分布の累積分布関数を表します。
この割合に対して、gは次式を解くことにより計算されます。

1-γが、母集団の観測値のうち、許容区間に含まれるものの割合となります。
正規分布に基づく許容区間の詳細については、Meeker et al.の表J.1a、J.1b、J.6a、J.6b(2017)を参照してください。
信頼水準100(1 - α)%の下方片側許容限界(標本サイズnの標本分布において割合β以上のデータを含むもの)は、順序統計量x(l)となります。順位lは、次のように計算されます。

ここで、Φ-1bin(1-α, n, β)は、試行n回、成功確率βの二項分布の第(1 - α)分位点です。
実際の信頼水準は、Φbin(n-l, n, β)で計算されます。ここで、Φbin(x, n, β)は、試行n回、成功確率βの二項分布において、確率変数がx以下になる確率です。
なお、分布によらない下方片側許容限界を計算するには、標本サイズがnが
以上であることが前提となります。
信頼水準100(1 - α)%である上方片側許容限界(標本サイズnの標本分布において割合β以上のデータを含むもの)は、順序統計量x(u)となります。順位uは、次のように計算されます。

ここで、Φ-1bin(1-α, n, β)は、試行n回、成功確率βの二項分布の第(1 - α)分位点です。
実際の信頼水準は、Φbin(u-1, n, β)で計算されます。ここで、Φbin(x, n, β)は、試行n回、成功確率βの二項分布において、確率変数がx以下になる確率です。
なお、分布によらない上方片側許容限界を計算するには、標本サイズnが
以上であることが前提となります。
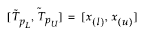
信頼水準100(1 - α)%の両側許容区間(標本サイズnの標本分布において割合β以上のデータを含むもの)は、次のように計算されます。

ここで、x(i)はi番目の順序統計量で、lとuは次のように計算されます。
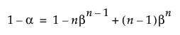
ν = n - Φ-1bin(1-α, n, β)としましょう。ここで、Φ-1bin(1-α, n, β)は、試行n回、成功確率βの二項分布の第(1 - α)分位点です。νが2未満の場合、分布によらない両側許容区間は計算できません。νが2以上の場合、l = floor(ν/2)、u = floor(n + 1 - ν/2)です。
実際の信頼水準は、Φbin(u-l-1, n, β)で計算されます。ここで、Φbin(x, n, β)は、試行n回、成功確率βの二項分布において、確率変数がx以下になる確率です。
なお、分布によらない両側許容区間を計算するには、標本サイズがnが、次式を満たすようなn以上であることが前提となります。

分布によらない許容区間については、Meeker et al.(2017, sec. 5.3)を参照してください。