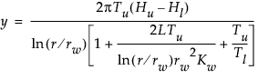
球の詰め込み計画を使って、定義されているモデルについて調べます。Worley(1987)は、2つの帯水層まで地面から掘った試錘孔を水が流れる様子をモデルにしました。応答変数yは、試錘孔を流れる水流の速度(単位はm3/年)を表し、次の式で計算されます。

このモデルには8つの因子があります。
rw = 試錘孔の半径(0.05~0.15m)
r = 影響の半径(100~50,000m)
Tu = 上部帯水層の透過率(63,070~115,600m2/年)
Hu = 上部帯水層の水圧(potentiometric head)(990~1100m)
Tl = 下部帯水層の透過率(63.1~116m2/年)
Hl = 下部帯水層の水圧(700~820m)
L = 試錘孔の長さ(1120~1680m)
Kw = 試錘孔の透水係数(9855~12,045m/年)
球の詰め込み計画を使って、応答yの計算に使われる一定の条件を求めます。次に、計画で使用した入力範囲に対し、真のモデルの予測モデルを作成します。この予測モデルを評価することは、8つの因子が応答に及ぼす影響を理解するために役立ちます。
この球の詰め込み計画を作成するには、データテーブルに保存されている因子の設定を使用できます。
1. [ヘルプ]>[サンプルデータフォルダ]を選択し、「Design Experiment」フォルダの「Borehole Factors」を開きます。
2. [実験計画(DOE)]>[特殊な目的]>[Space Filling計画]を選択します。
3. 「Space Filling計画」の赤い三角ボタンをクリックし、[因子のロード]を選択します。
図22.21 試錘孔の例で使用する因子値をロードした「因子」パネル
メモ: rとrwの対数を因子として使用しています。
4. 「実験の回数:」に「32」と入力します。
5. [球の詰め込み]をクリックして、計画を作成します。
6. [テーブルの作成]をクリックして、実験の因子設定を記録したテーブルを作成します。
メモ: 作成された計画テーブルには、「モデル」スクリプトがあります。このスクリプトの緑の三角ボタンをクリックすると、応答yに対するGauss過程モデルが実行されます。
7. (オプション)この例の完成したデータテーブルを見るには、[ヘルプ]>[サンプルデータフォルダ]を選択し、「Design Experiment」フォルダの「Borehole Sphere Packing.jmp」を開きます。
この計画は乱数シード値から生成されているため、実際に操作した際、この例とは異なる値になります。
決定論的データの重要な特徴は、ランダムな要素がないことです。決定論的な関係においては、入力値が同じだと、出力も常に同じになります。そのため、あてはめた統計モデルのp値は、通常のような意味を持ちません。F値が大きいこと(p値が小さいこと)は、その効果の影響を示唆する指標になるかもしれません。しかし、モデルに基づく予測や効果について、妥当な信頼区間を求めることはできません。
なぜなら、決定論的なデータにあてはめたモデルの残差は、ノイズ(ランダムな誤差)ではないからです。決定論的なデータにおける残差は、あてはめたモデルのバイアス(偏り)を示しています。ここでのバイアスは、真の値と予測値との差のことです。残差に明確なパターンが見られる場合は、バイアスを減らすために、モデルに新たな項を追加することを検討する必要があります。
実用上の多くの場面では、真のモデルを解析的な数式で表すことはできません。したがって、前節で説明した予測バイアスは観測したデータ点でしかわかりません。しかし、先ほどの試錘孔の例では真のモデルの関数がわかっています。「Borehole Sphere Packing.jmp」データテーブルの「true model」列には、既知の関数の計算式が含まれています。この計算式を使って、因子の入力範囲に対する予測バイアスのプロファイルを作成できます。
1. [ヘルプ]>[サンプルデータフォルダ]を選択し、「Design Experiment」フォルダの「Borehole Sphere Packing」を開きます。
2. 「Gauss過程モデルのあてはめ」スクリプトの横にある緑の三角ボタンをクリックします。
「Gauss過程モデル」レポートにおいて、因子と結果Yとの関係を調べます。
3. 「Gauss過程モデルY」の赤い三角ボタンをクリックし、[予測式の保存]を選択します。
4. 「Borehole Sphere Packing.jmp」データテーブルに戻ります。
5. 「true model」と「Y 予測式」の列の見出しを選択します。
6. 右クリックして、[計算式列の新規作成]>[組み合わせ]>[差]を選択します。
バイアスを含む新しい列が作成されます。
7. 「Borehole Sphere Packing.jmp」データテーブルで、[グラフ]>[プロファイル]を選択します。
8. 「true model-Y 予測式」を選択し、[Y, 予測式]をクリックします。
9. [中間計算式の展開]を選択します。
このオプションを選択すると、バイアスが8つの因子の関数として表示されます。
図22.22 「Borehole Sphere Packing.jmp」データの「プロファイル」起動ウィンドウ
10. [OK]をクリックします。
プロファイルは、デフォルトでは、計画領域の中心点に対して描かれます。予測モデルにバイアスがない場合は、プロファイルのトレースはすべての因子の全領域で一定になります。この例では、logRw, Kw, Lの各変数がバイアスに対して影響を及ぼしていることがわかります。
図22.23 試錘孔のGauss過程モデルのバイアスのプロファイル(Y軸を-40から20に設定)
このプロファイルを使って、領域全体の予測バイアスの範囲を調べることができます。最小バイアスと最大バイアスの点を見つけるには、「予測プロファイル」の赤い三角ボタンのメニューから、[最適化と満足度]>[満足度関数]を選択してください。『プロファイル機能』の満足度プロファイルと最適化を参照してください。計画点に対する予測バイアスを評価するには、[分析]>[一変量の分布]を選択して、一変量の分析を表示してください。
図22.24 予測バイアスの一変量の分布
この例では真のモデルが既知である点に留意してください。応用の場面では、どのような因子設定においても、真のモデルは未知であるのが普通です。なお、実験データの各データ点における予測バイアスは、計画領域全体でのバイアスを過小評価する傾向があります。