「Space Filling計画」の赤い三角ボタンのメニューを開くと、[FFF最適化基準]のサブメニューで最適化基準が選択できます。
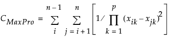
連続尺度の因子でMaxPro
連続尺度の因子の数をp、指定の実験回数をnとした場合、[MaxPro]は、次の基準を最小にする点を各クラスターから1つ取り出します。

MaxPro基準では、すべての因子を考慮して、点間の距離の積を最大にしようとします。この基準を最適化すると、因子の射影に関して、空間充填の良い性質をもつようになります。Joseph et al.(2015)を参照してください。[MaxPro]オプションはデフォルトで選択されています。
連続尺度でない因子を使った計画のMaxPro
連続尺度でない因子を使った計画の場合、[MaxPro]は、Joseph et al.(2020)の手法に従います。連続尺度の因子の数をp1、連続尺度でない因子の数をp2、離散数値の因子kの水準数をm、指定の実験回数をnとした場合、[MaxPro]は、次の基準を最小にする点を各クラスターから1つ取り出します。

重心法
この手法は、各クラスターの重心に計画点を置きます。計画空間内における任意の点から、最近隣の実験点までの平均距離が他の計画より小さくなる特性を持ちます。
メモ: 常に使用する最適化基準が決まっている場合は、環境設定で固定しておくことができます。それには、[ファイル]>[環境設定]>[プラットフォーム]>[実験計画(DOE)]を選択します。そして、[FFF最適化基準]を選択し、該当するオプションを選択します。
カテゴリカルな因子の場合は、以下のアルゴリズムに従います。
• このアルゴリズムの目的は、カテゴリカルな因子の水準から構成される各組み合わせに対して、計画点が均等に割り当てられることです。水準の組み合わせがm種類あり、各組み合わせにk個の計画点を均等に割り当てるとします。
• 連続変数に関して、その計画空間の領域内に、大量の点を乱数で生成します。そして、それらの点を、まず、k個のクラスターに分けます(ここでは、このクラスターを「第1クラスター」と呼びます)。
• k個の第1クラスターのそれぞれを、さらにm個のクラスターに分割します(ここでは、これらのさらに分割されたクラスターを「第2クラスター」と呼びます)。
• それぞれの第1クラスター内で、m個の第2クラスターから、[FFF最適化基準]で選択された基準を使って計画点を選び出します。
• そして、k個ある第1クラスターそれぞれにおいて、m個ある組み合わせのうちの1つずつを、m個の第2クラスターの計画点のいずれかにランダムに割り当てます。これにより、全部でkm個の計画点となります。
• k個の第1クラスターのそれぞれにおいて、MaxPro基準に従って、m個ある組み合わせの1つずつに、1つの計画点が選択されます。その際、カテゴリカル因子の同一水準にある点にMaxProカテゴリの重みが掛けられます。(MaxProカテゴリの重みについては、Space Filling計画のオプションを参照してください。)この手順が、k個の第1クラスターのすべてで10回、または、特定の計画点を変更しても改善が見られなくなるまで、続行されます。
[平均クラスターサイズの設定]オプションを使うと、1クラスターあたり(すなわち、1つの実験点あたり)における、一様乱数の平均個数を指定できます。このオプションは、「Space Filling計画」の赤い三角ボタンのメニューにある[詳細オプション]の下にあります。
デフォルトでは、実験回数が200以下の場合、全部で10,000個の一様乱数が、クラスターアルゴリズムで使用されます。実験回数が200を超えた場合、デフォルトでは、1つの実験点あたりにつき50個の一様乱数が使用されます。因子数が多い場合や、許可しない組み合わせによりクラスターアルゴリズムで使用される点の分布が制約を受けてしまう場合に、この値を増やすと特に便利です。
メモ: 因子数や実験回数によって、1つの実験点あたりの一様乱数の平均個数を増やしたい場合があります。その場合は、[詳細オプション]>[平均クラスターサイズの設定]を選択してください。