公開日: 09/19/2023

勾配

選択モデルの場合、[被験者ごとの勾配を保存]オプションで保存される勾配は、Newton-Raphson法のステップを被験者ごとに平均したものです。対数尤度の最大化が行われた段階での勾配の合計は0ベクトルになっています。また、この勾配の合計にヘッセ行列の逆行列を掛けたもの(Newton-Raphson法のステップ幅)も0ベクトルです。D = H-1g = 0。ここで、gは最尤法の対数尤度から計算された勾配の合計、H-1はヘッセ行列の逆行列です。ヘッセ行列とは、対数尤度の二階偏導関数(対数尤度を2回編微分したもの)を要素とする行列のことです。

ここで、Dを分解すると次のように表わされます。

D = SijDij = SH-1gij = 0

上式において、iは被験者を示す番号、jは各被験者における選択を示す番号、DijはNewton-Raphson法におけるステップ、gijは各選択における対数尤度の勾配を示します。

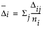
そこで、各被験者の平均ステップは、次のように計算できます。

ここに式を表示,

この式で、niはi番目の被験者が行った選択の回数を示します。Diは、被験者iがパラメータに与える影響力に関係しています。あるセグメントに属する被験者の選好構造が、他の被験者と異なる場合には、そのセグメントの被験者がパラメータに与える影響力は強くなります。よって、この平均ステップをクラスター分析に利用できると考えられます。Diはそのような影響力を示します。この値は、データテーブルに保存することができますので、保存したあとに「クラスター分析」プラットフォームなどで分析できます。

より詳細な情報が必要な場合や、質問があるときは、JMPユーザーコミュニティで答えを見つけましょう (community.jmp.com).