「独立二標本割合の信頼区間エクスプローラ」では、二標本割合の差・対数相対リスク・対数オッズに対する信頼区間をある程度の幅にするのに必要な標本サイズを計算できます。「独立二標本割合の信頼区間エクスプローラ」を起動するには、[実験計画(DOE)]>[標本サイズエクスプローラ]>[信頼区間]>[独立二標本割合の信頼区間]を選択します。 標本サイズ・有意水準・信頼区間の幅におけるトレードオフの関係を調べることができます。
ラジオボタン・テキストボックス・メニューによって、実験や調査の仮定(仮説検定に用いる前提)を設定します。それらの設定を変更すると、プロファイルが更新されます。プロファイル上で十字をドラッグすることでも、設定を変更できます。
区間の種類
片側
片側(上片側または下片側)の信頼区間を指定します。
両側
両側の信頼区間を指定します。
設定
アルファ
信頼水準(1-α)を指定します。デフォルトは、95%信頼区間(有意水準は0.05)です。
割合の差
二標本割合の差(p1 - p2)に対する信頼区間を指定します。
対数相対リスク
相対リスク(p1/p2)の対数に対する信頼区間を指定します。
対数オッズ比
オッズ比(p/(1-p)の比)の対数に対する信頼区間を指定します。
プロファイルは、標本サイズが信頼区間の計算にどのような影響を与えるかを示します。
全体の標本サイズ
実験に必要な全体の標本サイズ(実験回数・実験ユニット数・試料の個数・観測数など)。「点推定値までの距離」の曲線は、全体の標本サイズに基づきます。全体の標本サイズを固定するには、[ロック]を選択します。
解を求めたい対象:
ここでは何を求めたいかを指定します。標本サイズまたは母割合のいずれかを選択してください。
点推定値までの距離
両側区間の幅の半分、または片側区間の幅を指定します。その他の設定が同じである場合、標本サイズが大きくなるほど、信頼区間の幅は狭くなります。
群1の標本サイズ
実験や調査において群1で必要な標本サイズ(実験回数・実験ユニット数・試料の個数・観測数など)。
群2の標本サイズ
実験において群2で必要な標本サイズ(実験回数・実験ユニット数・試料の個数・観測数など)。
群1の割合
群1の真の母割合(群1に対して想定される母割合)。
群2の割合
群2の真の母割合(群2に対して想定される母割合)。
メモ: 全体の標本サイズがロックされていない限り、一方の群の標本サイズを変更すると全体の標本サイズも変化します。全体の標本サイズがロックされている場合、一方の群の標本サイズを変更すると他方の群の標本サイズも変化します。
「エクスプローラ」の赤い三角ボタンのメニューとレポートのボタンを使って、以下のオプションが使用できます。
シミュレーションデータ
データテーブルが開き、エクスプローラでの設定に基づいてシミュレートしたデータが表示されます。応答列の計算式は、乱数を生成するための計算式となっており、指定された設定に対応したものになっています。
収集用データテーブルの作成
データの収集に使える新しいデータテーブルが作成されます。データテーブルには、データを分析するためのスクリプトも含まれています。
設定の保存
現在の設定が「設定の保存」の表に保存されます。複数の異なる計画を保存して、比較することができます。「標本サイズエクスプローラの「設定の保存」」を参照してください。
ヘルプ
JMPヘルプを開きます。
どの種類の区間も、正規近似を使って計算されます。
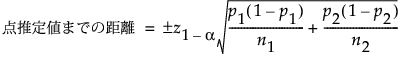
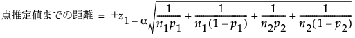
割合の差に対する両側信頼区間の場合、「点推定値までの距離」は次の式で求められます。

「点推定値までの距離」は次の式で求められます。

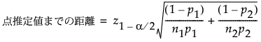
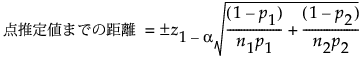
対数相対リスクに対する両側信頼区間の場合、「点推定値までの距離」は次の式で求められます。

「点推定値までの距離」は次の式で求められます。

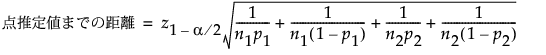
対数オッズ比に対する両側信頼区間の場合、「点推定値までの距離」は次の式で求められます。

「点推定値までの距離」は次の式で求められます。
