モデルレポートのオプション「関数データエクスプローラ」プラットフォームでモデルをあてはめると、モデルレポートが表示されます。モデルレポートの赤い三角ボタンのメニューには、以下のオプションがあります。
モデル選択
モデル選択に用いる規準統計量を変更します。用意されているモデル選択規準の統計量は、AICc・BIC・GCVです。『基本的な回帰モデル』の尤度・AICc・BICを参照してください。
基底のプロット
(ウェーブレットや直接関数主成分分析では使用できません。)基底関数を描いたプロットの表示/非表示を切り替えます。
診断プロット
(ウェーブレットや直接関数主成分分析では使用できません。)「診断プロット」レポートの表示/非表示を切り替えます。診断プロットを参照してください。
関数の要約
「関数の要約」レポートの表示/非表示を切り替えます。関数の要約を参照してください。
基底関数係数
(直接関数主成分分析では使用できません。)対応するモデルのあてはめに対し、係数レポートの表示と非表示を切り替えます。係数を参照してください。
ランダム係数
(ウェーブレットや直接関数主成分分析では使用できません。)「ランダム係数」レポートの表示/非表示を切り替えます。ランダム係数を参照してください。
関数主成分分析
「関数主成分分析」レポートの表示/非表示を切り替えます。関数主成分分析を参照してください。
ウェーブレット実験計画分析
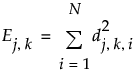
(起動ウィンドウで少なくとも1つの追加変数が指定され、かつデータにウェーブレットモデルがあてはめられた場合にのみ使用可能。)「関数データエクスプローラ」プラットフォーム内に「一般化回帰」レポートを起動します。一般化回帰モデル追加変数をモデル効果、ウェーブレット係数を応答変数とした一般化回帰モデルがあてはめられます。多くのウェーブレット係数が存在する可能性があるため、最も影響力のある係数の部分集合のみに一般化回帰モデルがあてはめられます。この係数の部分集合は、各ウェーブレット係数のエネルギーによって決められます。ウェーブレット係数のエネルギーは次の式で求められます。

ここで、j = 解像度、k = 入力領域での位置、i = 関数、d = (j,k,i)のウェーブレット係数です。総エネルギーは、係数のすべてのエネルギー値の合計です。

これらのエネルギー値は、「ウェーブレット実験計画分析」レポートに表示される「エネルギー」表で使用されます。「エネルギー」表には、以下の列があります。
係数
入力領域における解像度と位置によって識別されるウェーブレット係数。
エネルギー
対応するウェーブレット係数の相対エネルギー。この相対エネルギーは、すべてのウェーブレット係数における最大エネルギーによって標準化されたエネルギー値です。これは、Ej,k/maxj,k(Ej,k)で計算されます。
パーセント
総エネルギーと比較した、対応するウェーブレット係数のエネルギーの割合。これは、その係数がすべての係数の合計に対してどれだけの大きさであるかを表します。
累積
総エネルギーの累積パーセント。
「エネルギー」表に、総エネルギーの少なくとも90%を累積的に説明する係数が表示されます。
一般化回帰モデルは、ファザーウェーブレットと「エネルギー」表の各ウェーブレット係数に対してあてはめられます。デフォルトでは、2次の要因モデルがあてはめられ、推定法には総あたり法が使われます。なお、カテゴリカル変数の2乗効果はそのモデルに含まれません。モデル内の項数が20を超えている場合、または関数の数が1000を超えている場合は、「推定法」が減少付き変数増加法に自動的に切り替わります。別の方法として、元のデータテーブルでモデルスクリプトに指定することで、あてはめるモデルを指定することもできます。
追加変数で個々のウェーブレット係数をモデル化すると、追加変数がピークをもつ入力変数の位置にどのように影響するかを確認できます。これは、各ウェーブレット係数が入力領域の特定の位置に直接関係しているためです。その後、関数実験計画プロファイルを使用して、追加変数が応答関数にどのように影響するかを調べることができます。
ヒント: 稀なケースではありますが、[ウェーブレット実験計画分析]オプションが起動できなかった場合は、データに対して標準化の前処理を行い、中心化および尺度化されたデータでウェーブレットモデルを再調整してから、[ウェーブレット実験計画分析]を起動してみてください。
「ウェーブレット実験計画分析」レポートの赤い三角ボタンのメニューには、以下のオプションがあります。
ウェーブレット係数の一般化回帰
各ウェーブレット係数に対する「一般化回帰」レポートの表示/非表示を切り替えます。一般化回帰モデルのレポートの詳細については、『基本的な回帰モデル』のモデルのあてはめ結果に関するレポートを参照してください。
関数実験計画プロファイル
関数実験計画プロファイルの表示/非表示を切り替えます。関数実験計画プロファイルを使用すると、追加変数によって応答の関数がどのように変わるかを探索できます。「関数実験計画プロファイル」の赤い三角ボタンのメニューの詳細については、『プロファイル機能』のプロファイルを参照してください。
メモ: 「ウェーブレット実験計画分析」レポートの「関数実験計画プロファイル」は、目標関数をサポートしていません。目標関数を調べたい場合は、代わりに[関数実験計画分析]オプションを使用してください。
列の保存
[予測式の保存]と[残差計算式の保存]のオプションがあります。これらのオプションを使用すると、対応する計算式が、データテーブルの新しい列に保存されます。
関数実験計画分析
(起動ウィンドウで[Z, 追加に少なくとも1つの列が指定された場合にのみ使用可能。)「関数データエクスプローラ」プラットフォーム内に「一般化回帰」レポートを起動します。一般化回帰モデルが、関数主成分スコア関数のそれぞれにあてはめられます。このとき、一般化回帰モデルのモデル効果として追加変数が使用されます。デフォルトでは、2次の要因モデルがあてはめられ、推定法には総あたり法が使われます。なお、カテゴリカル変数の2乗効果はそのモデルに含まれません。モデル内の項数が20を超えている場合、または関数の数が1000を超えている場合は、「推定法」が減少付き変数増加法に自動的に切り替わります。別の方法として、元のデータテーブルでモデルスクリプトに指定することで、あてはめるモデルを指定することもできます。追加変数によって関数主成分スコアをモデル化すれば、追加変数によって応答の関数がどのように変わるかを判断できます。「関数実験計画プロファイル」を使用すると、追加変数が応答の関数に及ぼす影響を探索できます。
「関数実験計画分析」レポートの赤い三角ボタンのメニューには、以下のオプションがあります。
関数主成分スコアに対する一般化回帰
各関数主成分スコアに対する「一般化回帰」レポートの表示/非表示を切り替えます。一般化回帰モデルのレポートの詳細については、『基本的な回帰モデル』のモデルのあてはめ結果に関するレポートを参照してください。
診断プロット
応答変数についての「予測値と実測値のプロット」および「予測値と残差のプロット」の表示/非表示を切り替えます。
関数実験計画プロファイル
関数実験計画プロファイルの表示/非表示を切り替えます。関数実験計画プロファイルを使用すると、追加変数によって応答の関数がどのように変わるかを探索できます。目標関数が指定されている場合は、プロファイルグラフ上に追加のボタンオプションがあります。目標関数を最適化し、目標プロファイルの表示と非表示を切り替えることができます。[目標プロファイルの表示]をクリックすると、2つのプロファイルがレポートに追加表示されます。1つは目標関数からの差を表し、もう1つは目標関数からの積分誤差を表します。「関数実験計画プロファイル」の赤い三角ボタンのメニューの詳細については、『プロファイル機能』のプロファイルを参照してください。
列の保存
[予測式の保存]と[残差計算式の保存]のオプションがあります。これらのオプションを使用すると、対応する計算式が、データテーブルの新しい列に保存されます。
データの保存
分析に用いたデータを新規作成されたデータテーブルに保存します。データは、積み重ねたデータ形式で保存されます。
あてはめの削除
指定されたモデルのレポートを削除します。