モデルの要約「一般化回帰」レポートの「モデルの要約」セクションには、あてはめたモデルに関する説明と、その要約情報が表示されます。
モデルの説明「モデルの要約」レポートの最初の部分は、あてはめたモデルの説明です。
応答
「モデルのあてはめ」ウィンドウで[Y]の役割に指定した列。2つの列を使って区間打ち切りを指定した場合は、両方の列名がリストされます。
分布
「モデルのあてはめ」ウィンドウで選択した分布。[分位点回帰]の場合、指定した分位点の確率も表示されます。
推定法
「モデルのあてはめ」ウィンドウで選択した推定法。
検証法
「モデルのあてはめ」ウィンドウで選択した検証法。
平均 モデルのリンク関数
平均に対するモデル式で使われているリンク関数。リンク関数は、「モデルのあてはめ」ウィンドウで選択した分布に基づいて決められます。
位置 モデルのリンク関数
位置パラメータに対するモデル式で使われているリンク関数。「モデルのあてはめ」ウィンドウの「分布」で[Cauchy]または[t(5)]を選択した場合に表示されます。
尺度 モデルのリンク関数
尺度に対するモデル式で使われているリンク関数。リンク関数は、「モデルのあてはめ」ウィンドウで選択した分布に基づいて決められます。
確率 モデルのリンク関数
確率に対するモデル式で使われているリンク関数。リンク関数は、「モデルのあてはめ」ウィンドウで選択した分布に基づいて決められます。
ばらつき モデルのリンク関数
ばらつきのパラメータに対するモデル式で使われているリンク関数。リンク関数は、「モデルのあてはめ」ウィンドウで選択した分布に基づいて決められます。
ゼロ強調 モデルのリンク関数
ゼロ強調のパラメータに対するモデル式で使われているリンク関数。リンク関数は、「モデルのあてはめ」ウィンドウで選択した分布に基づいて決められます。
検出下限
応答列に割り当てられている検出下限。これは「検出限界」列プロパティにて指定した値です。
検出上限
応答列に割り当てられている検出上限。これは「検出限界」列プロパティにて指定した値です。
打ち切り列
「モデルのあてはめ」ウィンドウで[打ち切り]の役割に指定した列。
打ち切りの値
[打ち切り]列のデータ値のうち、打ち切りであることを示すデータ値。「モデルのあてはめ」ウィンドウで「打ち切りの値」に指定した値です。
モデルの適合度に関する情報「モデルの要約」レポートの2番目の部分には、モデルの適合度に関する統計量が表示されます。「検証法」として[保留]または[検証列]を選択した場合、学習セットと検証セットそれぞれの統計量が表示されます。「モデルの要約」レポートのこの部分は、[K分割]または[1つ取って置き法]を選択した場合には表示されません。
行数
行の数。
度数の合計
「モデルのあてはめ」ウィンドウで、[度数]または[重み]の役割に指定した列の値の合計。
メモ: (-1)*対数尤度、BIC、AICc、ERICは、値が小さい方がモデルが良いことを示します。尤度・AICc・BICを参照してください。
(-1)*対数尤度
現在のモデルの尤度関数の自然対数に-1を掛けたもの。尤度・AICc・BICを参照してください。
メモ: (-1)*対数尤度は、[分位点回帰]では計算されません。
目的関数
(分位点回帰でのみ)分位点回帰モデルの推定において最小化される関数の値。最小化される関数は、チェック損失関数(check-loss function)です。
パラメータ数
現在のモデル内にあるゼロでないパラメータの個数。
BIC
ベイズ情報量規準。次のように定義されます。

尤度・AICc・BICを参照してください。
AICc
修正済み赤池情報量規準。次のように定義されます。

尤度・AICc・BICを参照してください。
ERIC
(応答変数の確率分布が指数型分布族であり、かつ推定法がLassoもしくは適応型Lassoである場合のみ計算される。)拡張正則化情報量規準(Extended Regularization Information Criterion)。Hui et al.(2015)を参照してください。ERICは次のように定義されます。

この式で、lは調整パラメータの値、fは撹乱パラメータ。
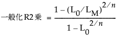
一般化R2乗
(分位点回帰では計算されません。)通常のR2乗を、回帰モデル全般で適用できるように拡張したもの。[一般化R2乗]は、あてはめたモデルの尤度(LM)を、切片だけのモデルの尤度(L0)と比べています。そして、最大値が1になるように尺度化されています。二項分布以外の分布では、[一般化R2乗]は次のように定義されます。

二項分布を選択した場合、[一般化R2乗]は次のように定義されます。

[一般化R2乗]は、あてはまりが完全な場合には1になります。[一般化R2乗]は、切片だけのモデルと同等な場合には0になります。一般化R2乗は、通常のR2乗(正規分布に従う連続尺度の応答変数に対する標準最小2乗法のR2乗)を一般化したものです。この一般化R2乗は、「NagelkerkeのR2」、または「Craig and UhlerのR2」とも呼ばれており、Cox and Snellの疑似R2を最大が1になるように尺度化したものです。Nagelkerke(1991)を参照してください。
メモ: 応答変数の確率分布に正規分布を指定した場合には、一般化R2乗ではなく、通常のR2乗が計算されます。
注意: 異なる確率分布に従うモデルで、一般化R2乗を比較すべきではありません。一般化R2乗は、あくまで、指定された確率分布について、切片だけのモデルと現在のモデルとを比較しているだけです。
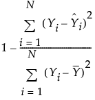
R2乗
(応答変数の確率分布に正規分布を指定した場合のみ計算されます。)応答の変動のうち、ランダムな誤差に起因するのではなく、モデルに起因すると考えられる割合の推定値。あてはめが完全なモデルではR2乗は1になります。また、切片だけのモデルと同等な場合は、R2乗は0になります。R2乗は、次のように計算されます。

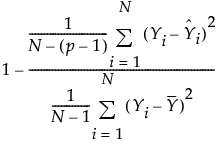
自由度調整R2乗
(応答変数の確率分布が正規分布であり、かつ推定法が罰則付きのものでない場合のみ計算されます。)モデルのパラメータ数に合わせてR2乗の統計量を調整したもの。自由度調整済みR2乗は、パラメータ数の異なるモデルを比較するのに役立ちます。自由度調整R2乗の計算には自由度が加味されており、次のように計算されます。

ここで、Nは標本サイズ、pは、パラメータ数です。
メモ: 検証セットがある場合、学習セットに対してだけ自由度調整R2乗統計量がレポートされます。
RASE
(応答変数の確率分布に正規分布を指定した場合のみ計算されます。)現在のモデルから計算される平均2乗誤差平方根(Root Average Squared Error)。RASEを参照してください。
ラムダペナルティ
(Dantzig選択器・Lasso・弾性ネット・リッジ回帰・ダブルLassoでのみ計算されます。)現在のモデルに対する調整パラメータlの値。推定法の統計的詳細を参照してください。