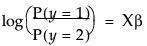
「モデルのあてはめ」プラットフォームにおける名義尺度の応答に対するモデルは、2水準の応答に対するロジットモデルを一般化したものになっています。2水準の応答に対するロジットモデルは次のようになります。

上の式は、次のようにも書けます。

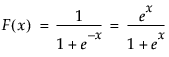
ここで、F(x)は次の標準ロジスティック分布の累積分布関数です。

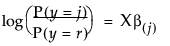
応答の水準数をrとした場合、r個の応答水準のいずれかに応答がなる確率が使われます。確率の推定値はすべて正です。X変数がどのような値でも、応答水準すべてにわたって確率の推定値を合計すると1になります。確率の予測に使われる関数は、線形モデルとロジスティック関数を組み合わせたものです。これは、ロジット(確率の比の対数)を取ると線形モデルになることから、ロジットモデルともいいます。JMPでは、それぞれの水準が生じる確率と、r番目の確率(最後の水準が生じる確率)からロジットを計算し、r – 1個のロジットに対してモデルを別々にあてはめます。
この式で
応答が名義尺度の場合には、最尤法と呼ばれる原理が使用されます。最尤法では、データ値によって与えられた応答すべての結合確率が、モデルで得られる最大値になるよう、パラメータが推定されます。扱いやすさを考えて、結合確率(尤度)そのものではなく、尤度の対数の符号を逆にし、合計したものがレポートされます。
不確定性(負の対数尤度、符号を逆にした対数尤度)は、得られたデータが生じる確率をモデルに基づき計算し、その対数を取って符号を逆にし、合計したものです。これはHと呼ばれるのが普通で、標本サイズをnとすると次のように表されます。

モデルのあてはめが完全なら、モデルに基づき計算される、データが生じる確率は1になるので、符号を逆にした対数の合計は0になります。
名義モデルをあてはめる際、特に応答の水準がたくさんあると、かなりの時間とメモリが必要になります。JMPでは、反復計算の状況を示す反復の履歴が作成されます。反復の履歴を見ると、「(-1) *対数尤度」(負の対数尤度)の値が徐々に小さくなり、収束していっていることがわかります。
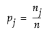
応答が名義尺度の場合、最も基本となるモデルは、「各応答水準が生じる確率が、データ全体において一定であるモデル」です。この基本モデルでは、Yが応答水準jである確率が、「標本のすべての度数nで、各応答水準の度数njを割ったもの」として推定されます。この確率は次のように計算されます。

すべてのモデルは、この基本モデルと比較されます。名義尺度の応答に対するこの基本モデルは、連続尺度の応答に対するモデルにとっての標本平均と同じ役割を果たします。
名義尺度の応答に対するモデルでのR2統計量は、不確定性のうちモデルで説明されている部分を表し、次の式で計算されます。

ただし、実際には、カテゴリカルな応答のモデルでは、このR2の値が1に近くなることはほとんどありません。