応答(Y)が順序尺度の場合も、名義尺度のときと同じく、r個の応答水準のいずれかに応答がなる確率が使われます。
順序尺度のデータには、連続尺度のデータのように順序がありますが、分析において考慮されるのは順序だけで、並んでいる水準の間隔や距離は考慮されません。応答が数値であるときに、値と値の間隔を考慮しない場合には、その応答の列には順序尺度を割り当ててください。また、「低い」、「中間」、「高い」など何らかの自然な順序に水準がならんでいる分類変数も、順序尺度と考えられます。
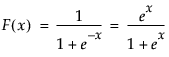
順序尺度の応答は、複数の平行なロジスティック曲線を累積確率にあてはめることにより、モデル化されます。どのロジスティック曲線も、傾きのパラメータは等しいですが、切片のパラメータは異なり、次のように表されます。
この式で
ここで、rは応答の水準数、F(x)は次のような標準ロジスティック累積分布関数です。

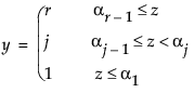
これを別の式で表現するには、連続量の潜在変数であるzを使います。zの値によって、応答の値が次のように決まるとします。

zは、線形モデルと誤差の関数により決定される潜在変数で、次のように表されます。

eは、ロジスティック分布に従います。
このモデルは、順序尺度が持つ特性が考慮されています。名義尺度モデルよりパラメータがずっと少なくなり、計算も速く済みます。
順序ロジスティックモデルを理解するためのもう1つの(数学的には等価な)解釈は、名義尺度のモデルで、オッズ比の代わりに累積確率をモデル化したと考えてみることです。順序ロジスティックモデルでは、名義ロジスティックモデルのように最後の水準以外のすべての水準に関数をあてはめるのではなく、関数を1つだけあてはめ、それをスライドさせて応答の各累積確率にあてはめます。
順序尺度の応答に対するモデルでは、名義尺度の応答と同じく、最尤法によるあてはめが行われます。最尤法では、データ値によって与えられた応答すべての結合確率が、モデルで得られる最大値になるよう、パラメータが推定されます。順序尺度の応答に対するモデルのあてはめは、名義尺度の応答に対するモデルのあてはめに比べると、反復計算が速く、メモリの消費も少なくて済みます。
順序尺度の応答の基本モデルは、名義尺度と同じく、「各応答水準が生じる確率が、データ全体において一定であるモデル」です。