「パラメトリック信頼性実証試験エクスプローラ」は、パラメトリックな方法に基づき、信頼性実証試験で試験するユニットの個数を計算します。「パラメトリックな信頼性実証試験エクスプローラ」を起動するには、[実験計画(DOE)]>[標本サイズエクスプローラ]>[信頼性]>[パラメトリックな信頼性実証]を選択します。 時間・有意水準・故障個数、試験するユニットの個数におけるトレードオフ関係を調べます。
ラジオボタン・テキストボックス・メニューによって、実験や調査の仮定(仮説検定に用いる前提)を設定します。それらの設定を変更すると、プロファイルが更新されます。プロファイル上で十字をドラッグすることでも、設定を変更できます。
設定
アルファ
有意水準(1-α)を指定します。デフォルトの値は0.05です。
分布
故障時間に対して想定する確率分布。選択肢は、Weibull分布と対数正規分布です。これらの確率分布に関する詳細は、信頼性/生存時間分析の「寿命の一変量」プラットフォームの統計的詳細を参照してください。
標準時間
この時点までの故障が少なければ信頼性があるとみなす時間。信頼性がある製品を、この標準時点における生存確率(信頼性)が特定の基準よりも大きい製品と定義します。
プロファイルは、標本サイズが信頼性実証試験にどのような影響を与えるかを示します。
解を求めたい対象:
ここでは何を求めたいかを指定します。標本サイズ、故障個数の上限、信頼性、形状パラメータのいずれかを選択してください。
試験時間
実証試験をどれぐらいの期間で行うかを指定します。
標本サイズ
信頼性実証試験に用いるユニットの個数。
故障個数の上限
信頼性実証試験で合格とみなす最大故障個数。試験の結果がこの個数以下であれば、合格とみなします。故障個数の上限は標本サイズよりも小さくなければいけません。
標準信頼性
信頼性のある製品の標準時間における生存確率。つまり、標準時間(その時点までの故障が少なかったら信頼性があるとみなす時間)まで、信頼性のある製品が故障せずに生存している確率。
形状パラメータ
故障時間に関する確率分布の尺度パラメータ。
「エクスプローラ」の赤い三角ボタンのメニューとレポートのボタンを使って、以下のオプションが使用できます。
シミュレーションデータ
データテーブルが開き、エクスプローラでの設定に基づいてシミュレートしたデータが表示されます。応答列の計算式は、乱数を生成するための計算式となっており、指定された設定に対応したものになっています。
収集用データテーブルの作成
データの収集に使える新しいデータテーブルが作成されます。データテーブルには、データを分析するためのスクリプトも含まれています。
設定の保存
現在の設定が「設定の保存」の表に保存されます。複数の異なる計画を保存して、比較することができます。「標本サイズエクスプローラの「設定の保存」」を参照してください。
ヘルプ
JMPヘルプを開きます。
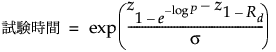
パラメトリックな信頼性実証実験では、製品が標準時間Tdを信頼性Rdで達成することを実証するために必要な試験時間を、想定した寿命分布を使って求めた成功確率を持つ二項分布を用いて計算します。F分布を用いて、累積確率であるαから二項分布の確率パラメータを逆算しています。
Weibull分布の場合、試験時間は次の式で求められます。

対数正規分布の場合、試験時間は次の式で求められます。

ここで、


cは、試験で許容される故障個数の上限です。