「独立二標本分散の検出力エクスプローラ」では、独立な2つの標本の分散に対する仮説検定での標本サイズや検出力を計算できます。「独立二標本分散の検出力エクスプローラ」を起動するには、[実験計画(DOE)]>[標本サイズエクスプローラ]>[検出力]>[独立二標本分散の検出力]を選択します。標本サイズ・検出力・有意水準・検出したい比におけるトレードオフの関係を調べることができます。ここでの仮説検定は、次のような帰無仮説に対するものです。

両側検定における対立仮説は、次のとおりです。

片側検定における対立仮説は次のとおりです。
もしくは
上の式で、s1は群1の母分散、s2群2の母分散です群2の母分散s2が群1の分散から離れている場合に、その違いを検出することが、この仮説検定の目的です。母分散のその違いを、s2÷s1という比(2群の母分散比)によって表します。有意水準と検出力が一定ならば、母分散比が1に近いほど、その違いを検出するには、より大きい標本サイズが必要になります。母集団が正規分布に従っていることが計算の前提です。
ラジオボタン・テキストボックス・メニューによって、実験や調査の仮定(仮説検定に用いる前提)を設定します。それらの設定を変更すると、プロファイルが更新されます。プロファイル上で十字をドラッグすることでも、設定を変更できます。
検定の種類
仮説検定が片側なのか両側なのかを指定します。
設定
アルファ
第1種の誤りの確率(帰無仮説が正しい場合に、その帰無仮説を誤って棄却する確率)です。この値は、一般には、「有意水準」や「α水準」などと呼ばれています。デフォルトの有意水準は0.05です。
プロファイルは、標本サイズが検出力の計算にどのような影響を与えるかを示します。
全体の標本サイズ
実験に必要な全体の標本サイズ(実験回数・実験ユニット数・試料の個数・観測数など)。全体の標本サイズを固定するには、[ロック]を選択します。
解を求めたい対象:
ここでは何を求めたいかを指定します。標本サイズまたは分散比のいずれかを選択してください。
群1の標本サイズ
実験や調査において群1で必要な標本サイズ(実験回数・実験ユニット数・試料の個数・観測数など)。
群2の標本サイズ
実験において群2で必要な標本サイズ(実験回数・実験ユニット数・試料の個数・観測数など)。
分散比
対立仮説における母分散の比、つまり、真の母分散の比を、「群2の母分散」÷「群1の母分散」で指定します。
メモ: 全体の標本サイズがロックされていない限り、一方の群の標本サイズを変更すると全体の標本サイズも変化します。全体の標本サイズがロックされている場合、一方の群の標本サイズを変更すると他方の群の標本サイズも変化します。群の標本サイズを指定するには、テキストボックスを使います。
「エクスプローラ」の赤い三角ボタンのメニューとレポートのボタンを使って、以下のオプションが使用できます。
シミュレーションデータ
データテーブルが開き、エクスプローラでの設定に基づいてシミュレートしたデータが表示されます。応答列の計算式は、乱数を生成するための計算式となっており、指定された設定に対応したものになっています。
収集用データテーブルの作成
データの収集に使える新しいデータテーブルが作成されます。データテーブルには、データを分析するためのスクリプトも含まれています。
設定の保存
現在の設定が「設定の保存」の表に保存されます。複数の異なる計画を保存して、比較することができます。「標本サイズエクスプローラの「設定の保存」」を参照してください。
ヘルプ
JMPヘルプを開きます。
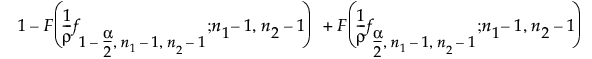
二標本の分散比に対する検定の検出力は、通常のF検定に基づいて計算されます。各対立仮説に対して、次のような式で検出力は計算されます。上片側対立仮説の場合(s1 > s2):

下片側対立仮説の場合(s1 < s2):

両側対立仮説の場合(s1 ≠ s2):


ここで
aは、有意水準。
n1およびn2は、各群の標本サイズ。
r = s2/s1
f1-α,ν1,ν2は、自由度n1およびn2のF分布の(1 - a)分位点。
F(x, n)は、自由度nのF分布の累積分布関数。