「最小2乗法によるあてはめ」レポートの[PRESS]オプションは、1つ取って置き法(leave‐one‐out method)によって計算される予測誤差の平方和(prediction error sum of squares)を表示します。1つ取って置き法では、データの各行が1行ずつ順番に除外されて、モデルが推定されます。そして、推定されたモデルに基づき、その除外された1行に対して予測値が求められ、その残差が計算されます。この手順がすべての行に適用されます。それらの残差の平方和がPRESSです。この手順はすべてのデータに適用され、残差の平方和によりPRESSが求められます。
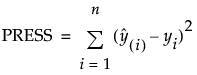
PRESSの誤差平方和(SSE)は、次のようにして求められます。

ここで、nは標本サイズ、yiは、応答変数のi行目の値です。
はi行目の予測値です。この予測値は、該当する行を除外したデータから推定されたモデルのものです。
「PRESS RMSE」は
です。
「PRESS R2乗」は1 - PRESS÷SSTotalです。
「PRESS」レポートには、モデル全体のSSE、RMSE、R2乗の値も表示されます。モデル全体の統計量は、「通常の残差」という行に表示されます。