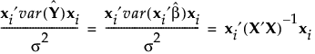
実験計画の相対的な予測分散は、以下の式で計算されます。次の記号を用います。
X
計画行列(デザイン行列)。モデル行列を参照してください。「カスタム計画」プラットフォームで作成されたデータテーブルには、モデル行列を表示するスクリプトがあります。計画行列は、モデル行列に似ています。X行列の保存を参照してください。
s2
誤差分散。

最小2乗法で求めたパラメータ推定値のベクトル。

Xのi番目の行。
この表記を使うと、Xの第i行に対する応答の予測値は、次式によって求められます。

における相対的な予測分散は、次式によって求められます。
