「時系列分析」プラットフォームの「スペクトル密度」レポートには、2つのスペクトル密度プロットと「ホワイトノイズ検定」表が含まれています。
図18.15 「スペクトル密度」レポートと「ホワイトノイズ検定」レポート
「ホワイトノイズ検定」表には、以下の統計量が表示されます。
Fisherのκ
Fisherのカッパ(κ)統計量は、「時系列データが独立で同一の正規分布から取り出されたものである」とする帰無仮説を、「時系列に何らかの周期がある」とする対立仮説に照らし合わせて検定するときに使います。κはピリオドグラムの最大値であるI(fi)とその平均値の比です。
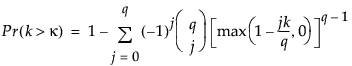
p値(Prob>Kappa)
帰無仮説が正しいという仮定のもとで、現在得られている値より大きなκの値が観測される確率。次式で計算されます。

ここで
Nが偶数の場合はq=N/2、Nが奇数の場合はq=(N-1)/2、
kは、現在のデータにおける、κの実現値です。
この確率が有意水準aより小さいとき、帰無仮説は棄却されます。
BartlettのKolmogorov-Smirnov検定
この検定は、正規化された累積ピリオドグラムを、(0, 1)区間にわたる一様分布の累積分布関数と比較します。検定統計量は、累積ピリオドグラムと一様分布の累積分布関数との差の絶対値のうちで一番大きな値です。その値が
を超える場合は、時系列が独立で同一な正規分布から取り出されたとする仮説が棄却されます。a=1.36とa=1.63は、それぞれ5%と1%の有意水準に該当します。