「時系列分析」プラットフォームのそれぞれの「状態空間平滑化」レポートのアウトラインには、モデルを識別できる一意の略称も表示されます。モデルをあてはめると、「モデルの比較」表にそのモデルが追加されます。「モデルの比較」表でモデルの[レポート]のチェックボックスをオンにすると、「状態空間平滑化」レポートが表示されます。以下の情報が含まれています。
モデルの種類
誤差・トレンド・季節性に関し、その時系列に対して選択されたモデルの説明が表示されます。
モデルの要約
モデルの適合度統計量をまとめたものです。以下の説明において、nは系列の長さ、kはモデルのパラメータ数です。
-2対数尤度
パラメータ推定値に対する尤度関数値の自然対数を-2倍したもの。値が小さいほどよくあてはまっています。『基本的な回帰モデル』の尤度・AICc・BICを参照してください。
AIC
−2×対数尤度 + 2kで計算される赤池の情報量規準(AIC)値。AICの値が小さいほど、モデルはよくあてはまっています。
BIC
−2×対数尤度 + k*ln(n)で計算されるSchwarzのベイズ規準(SBC)値。SBCの値が小さいほど、モデルはよくあてはまっています。Schwarzのベイズ規準はベイズ情報量規準に相当します。
パラメータ数
情報量規準の計算に用いられるパラメータの数を指します。この数は、尤度関数のパラメータ数であり、予測式内のパラメータ数に1を加えたものと同じです。
メモ: 「パラメータ数」の数値は、パラメータ推定値表のパラメータの数ではありません。
Sigma
1期先予測における誤差の標準偏差を推定した値です。
R2乗
次式で計算されるR2乗値。

この式で、


は1期先予測値、
は平均です。
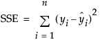
モデルが時系列にあまりよくあてはまっていないと、誤差平方和(SSE)が合計平方和(SST)より大きくなります。その結果、R2がマイナスになることがあります。
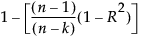
自由度調整R2乗
次式で計算される自由度調整済みR2乗値。

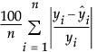
MAPE
次式で計算される平均絶対誤差率(Mean Absolute Percentage Error)値。

ここで
は1期先予測値、
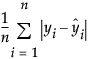
MAE
次式で計算される平均絶対誤差(Mean Absolute Error)値。

ここで
は1期先予測値、
パラメータ推定値
この表には、モデルの各パラメータに対する推定値、標準誤差、および95%信頼区間が表示されます。
予測
時系列の観測値と予測値を表示するグラフ。予測を参照してください。
1期先予測誤差
時間の経過に伴う1期先予測誤差のプロットです。各時点tについて、tにおける時系列の観測値からt‘における1期先予測値を引いた値として誤差が計算されます。保留データを指定しなかった場合、誤差は学習データに対してのみ計算されます。誤差の自己相関レポートと偏自己相関レポートも表示されます。
保留データでの予測誤差
(保留データを指定した場合にのみ使用可能。)保留データのオブザベーションに関する予測誤差のプロット。誤差の自己相関レポートと偏自己相関レポートも表示されます。
成分の状態
このレポートには、モデルのそれぞれの状態を表すプロットと、そのモデルに対応する式が表示されます。各プロットには、それぞれ系列の状態推定値と状態予測値が含まれています。保留データを指定した場合は、状態推定値が学習データ、状態予測が保留データのものになります。保留データを指定しなかった場合は、状態推定値が時系列の最後の観測値までの部分に使用され、状態予測が時系列の最後の観測値以降の部分に使用されます。モデルには、最大3つの状態(水準、トレンド、季節)があります。
「成分の状態」の赤い三角ボタンのメニューには[状態の保存]オプションがあります。このオプションを選択すると、各時点における成分の状態が別のデータテーブルに保存されます。
乗法誤差モデルの1期先相対予測誤差
(乗法誤差モデルの場合のみ。)時間の経過に伴う1期先相対予測誤差のプロットです。各時点tについて、tにおける1期先予測誤差をtにおける1期先予測値で割った値として誤差が計算されます。
各「状態空間平滑化」レポートの赤い三角ボタンのメニューには、以下のオプションがあります。
点の表示
予測グラフにデータ点を表示します。
予測区間の表示
予測グラフに予測区間を表示します。
列の保存
新しいデータテーブルを作成し、列にモデルの結果を保存します。
あてはめの削除
レポートから個々のモデルのあてはめを削除します。