ここでは、目標値が指定されていない工程を「工程能力」プラットフォームが処理する方法について説明します。目標値のない場合、上側と下側の両方の仕様限界があるときと、片側の仕様限界しかないときが考えられます。工程能力箱ひげ図の作成に使用される計算は、どのような仕様限界が定義されているかによって異なります。この節で使用される表記については、表記に関する統計的詳細を参照してください。
j番目の列に対して目標値が指定されていない場合、下式で変換した値を使って、工程能力箱ひげ図は描かれます。

下側仕様限界だけが指定されているとしましょう。(上側仕様限界だけが指定されている場合も同様です。)
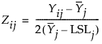
j番目の列に対して目標値が指定されていない場合、下式で変換した値を使って、工程能力箱ひげ図は描かれます。

メモ: 列に片側の仕様限界しかなく、目標値もない場合、標本平均が仕様限界の外にあると、その列の工程能力箱ひげ図は作成されません。