公開日: 09/19/2023

ここに画像を表示分布の統計的詳細

「一般化回帰」手法で使われる分布の密度関数(確率関数)・期待値・分散を、以下に示します。なお、「一般化回帰」手法の離散分布では、同じ確率関数を使って、整数以外のデータ値も処理します(以下の計算式では、離散分布は整数値のみをとるように説明しています)。

ここに画像を表示連続変数の分布

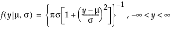
正規分布

ここに式を表示

ここに式を表示

ここに式を表示

Cauchy分布

ここに式を表示

ここに式を表示

ここに式を表示

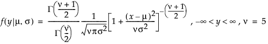
t(5)分布

ここに式を表示

ここに式を表示

ここに式を表示

指数分布

ここに式を表示

ここに式を表示

ここに式を表示

ガンマ分布

ここに式を表示

ここに式を表示

ここに式を表示

Weibull分布

ここに式を表示

ここに式を表示

ここに式を表示

対数正規分布

ここに式を表示

ここに式を表示

ここに式を表示

負対数正規分布

ここに式を表示

ここに式を表示

ここに式を表示

ベータ分布

ここに式を表示

ここに式を表示

ここに式を表示

ここに画像を表示離散分布

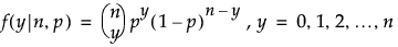
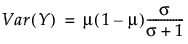
二項分布

ここに式を表示

ここに式を表示

ここに式を表示

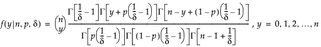
ベータ二項分布

ここに式を表示

ここに式を表示

ここに式を表示

Poisson分布

ここに式を表示

ここに式を表示

ここに式を表示

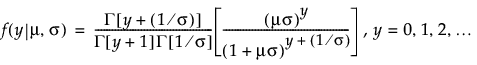
負の二項分布

ここに式を表示

ここに式を表示

ここに式を表示

ここに画像を表示ゼロ強調分布

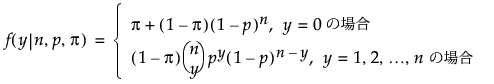
ゼロ強調 二項分布

ここに式を表示

ここに式を表示

ここに式を表示

ゼロ強調 ベータ二項分布

ここに式を表示

ここに式を表示

ここに式を表示

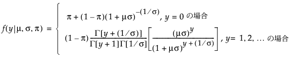
ゼロ強調 Poisson分布

ここに式を表示

ここに式を表示

ここに式を表示

ゼロ強調 負の二項分布

ここに式を表示

ここに式を表示

ここに式を表示

ゼロ強調 ガンマ分布

ここに式を表示

ここに式を表示

ここに式を表示

より詳細な情報が必要な場合や、質問があるときは、JMPユーザーコミュニティで答えを見つけましょう (community.jmp.com).