平滑化法モデルは、次のように定義されます。

ここで
mtは、時間によって変化する平均項
btは、時間によって変化する傾き項
s(t)は、時間によって変化する季節項
atは、ランダムショック
このモデルにおいて、トレンドのないモデル、bt = 0、季節性のないモデルはs(t) = 0とします。説明のため、時間によって変化する各項の推定量を、次のように定義します。
Ltを、mtを推定した平滑化した水準(レベル)とします。
Ttを、btを推定した平滑化した水準(レベル)とします。
St - j(j = 0, 1,..., s - 1に対して)を、s(t)の推定値とします。
すべての平滑化モデルにおいて、これらの推定値の変化を漸化式で記述したものが定義されています。平滑化の式は、平滑化の重みと呼ばれるモデルパラメータをもとに作成されます。
aを、水準に対する平滑化の重みとします。
gを、トレンドに対する平滑化の重みとします。
jを、トレンドダンプに対する平滑化の重みとします。
dを、季節効果に対する平滑化の重みとします。
これらのパラメータに共通していることは、重みが大きいほど最近のデータからの影響を大きく、重みが小さいほど最近のデータからの影響を小さくして、各要素の推定値(平滑化した値)を求めている点です。平滑化の重みの詳細については、SAS/ETS 15.2 User’s Guide(「Forecasting Process Details」章)を参照してください。
1重指数平滑化法のモデルは、yt = mt + atという式で表されます。
平滑化の式Lt = ayt + (1 – a)Lt-1は、1個の平滑化重みaを使って定義されています。この平滑化法モデルは、次のような制約をもつARIMA(0,1,1)モデルと等価です。
この式で、
移動平均モデルの形式に書き換えると、次式になります。

2重指数平滑化法のモデルは、yt = mt + b1t + atという式で表されます。
平滑化式は、1つの重みaを使って次のように定義されます。


このモデルは、次のような制約をもつARIMA(0,1,1)(0,1,1)1モデルと等価です。
ここで
および 
移動平均モデルの形式に書き換えると、次式になります。

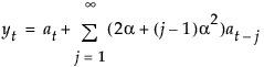
線形指数平滑化法のモデルは、yt = mt + btt + atという式で表されます。
平滑化式は、平滑化重みのaとgを使って次のように定義されます。


このモデルは、次のような制約をもつARIMA(0,2,2)モデルと等価です。
ここで
および
移動平均モデルの形式に書き換えると、次式になります。

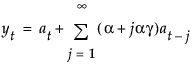
ダンプトレンド線形-指数平滑化法のモデルは、yt = mt + btt + atという式で表されます。
平滑化の式は、平滑化の重みa、g、jを使って次のように定義されます。


このモデルは、次のような制約をもつARIMA(1,1,2)モデルと等価です。

この式の記号は以下の通りです。


移動平均モデルの形式に書き換えると、次式になります。

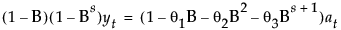
季節指数平滑化法のモデルは、yt = mt + s(t) + atという式で表されます。
平滑化の式は、平滑化重みのaとdを使って次のように定義されます。


このモデルは、次のような制約をもつ季節ARIMA(0, 1, s+1)(0, 1, 0)sモデルと等価です。

ここで



移動平均モデルの形式に書き換えると、次式になります。
この式で、
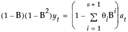
加法型Winters法のモデルは、yt = mt + btt + s(t) + atという式で表されます。
平滑化の式は、重みのa、g、dを使って次のように定義されます。



このモデルは、次式で表される季節ARIMA(0, 1, s+1)(0, 1, 0)sモデルと等価です。

移動平均モデルの形式に書き換えると、次式になります。

ここで
