高速柔軟充填(FFF; Fast Flexible Filling)計画のアルゴリズムは、まず指定の計画領域内に多数のランダムな点を生成します。そして、これらの点に対して、線形制約や、許可しない因子の組み合わせといった制約を課します。次に、この多数の点を、高速Ward法によるクラスター分析によって、指定された実験回数を個数としたクラスターにまとめます。
最後に、デフォルトの[MaxPro](最大射影法; maximum projection)またはオプションの[重心法]を最適化基準として、最終的な計画点を求めます。これらのオプションは、レポートの赤い三角ボタンのメニューにある[FFF最適化基準]サブメニューに含まれています。
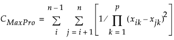
MaxPro
因子数をp、指定の実験回数をnとした場合、[MaxPro]は、次の基準を最小にする点を各クラスターから1つ取り出します。

MaxPro基準では、すべての因子を考慮して、点間の距離の積を最大にしようとします。この基準を最適化すると、因子の射影に関して、空間充填の良い性質をもつようになります。Joseph et al.(2015)を参照してください。[MaxPro]オプションはデフォルトで選択されています。
重心
この手法は、各クラスターの重心に計画点を置きます。計画空間内における任意の点から、最近隣の実験点までの平均距離が他の計画より小さくなる特性を持ちます。
メモ: 常に使用する最適化基準が決まっている場合は、環境設定で固定しておくことができます。それには、[ファイル]>[環境設定]>[プラットフォーム]>[実験計画(DOE)]を選択します。そして、[FFF最適化基準]を選択し、該当するオプションを選択します。