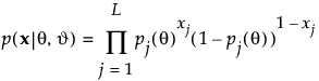
「項目分析」プラットフォームでは、項目反応理論モデルの各パラメータは、周辺最尤推定(Marginal Maximum Likelihood estimation; MMLE)によって推定されます。MMLEは、同時最尤推定(Joint Maximum Likelihood estimation; JLE)とは異なる推定法です。MMLEでは、各受験者の違いを変量効果として扱います。項目と能力は、次式によって関連付けられます。

この式で、p(x|q, J)は、受験者の能力をq、項目に関するパラメータのベクトルをJとした場合の、応答ベクトルxが生じる確率です。項目に関するパラメータの個数は、モデル(1PL、2PL、3PL)によって異なります。
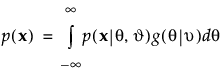
MMLEでは、受験者の能力でこの尤度を積分します。JMPでは、積分において、ガウス求積法が使われています。そして、積分した尤度から、項目に関するパラメータを推定します。受験者の変量効果で積分した尤度は、次式で計算されます。

この式で、g(q|n)は、受験者の能力の分布を表しています。nは、その分布の位置パラメータや尺度パラメータを表すベクトルです。JMPでは、このg(q|n)に、平均が0で標準偏差が1の正規分布が仮定されています。
メモ: テスト問題にまったく答えなかった場合は、一般的に、すべての問題が誤答だったと考えられます。能力スコアは、全問誤答者または全問正解者については計算されません。しかし、これらの受験者のパターンは、モデル推定には含まれています。
JMPでの分析は、2段階で行われます。第1段階では、各受験者の能力が、平均0, 分散1の正規分布に従う変量効果として扱われます。この変量効果はガウス求積法によって積分されることにより尤度から消去されます。そして、項目に関するパラメータが、周辺尤度(受験者の能力が積分消去された尤度)において固定パラメータとして扱われます。第2段階において、能力パラメータが推定されます。この推定には、項目に関するパラメータを、第1段階で得られた推定値に固定し、同時最尤法で推定します。こうして得られた能力の推定値の基本的な考え方は、混合線形モデルにおけるBLUP(Best Linear Unbiased Prediction; 最良線形不偏予測値)に似ています。
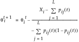
L個の項目に対する応答には、2L個のパターンがあります。各応答パターンに対して、尤度が最大となるような能力が推定されます。それには、qが収束するまで次式を反復します。

ここで
qは、推定したい受験者の能力(この値を、尤度が最大になるように推定する)
tは、反復回数
Lは、項目数
Xiは、観測された応答
pijは、i番目の受験者がj番目の項目に正答する確率